生存曲線の属性に変更を加えるには、検定オプションを使うか Graph Properties を使います。
以下に示す4つの例は、生存曲線の検定オプションに変更を加えることで実行できるものです。SigmaStat ツールバーからある検定を選択すると、以下のメニューを選択することでそのダイアログボックスを開くことができます:
SigmaStat→Current Test Options
以下の例を作成するのに使用したオプションは、任意の Options for Survival ダイアログボックスの Graph Options タブにあります。

打ち切りシンボル付きの生存曲線
Status Symbols の Censored を選択します。

打ち切りシンボルと故障シンボル付きの生存曲線
Status Symbols の Censored と Failures の両方を選択します。

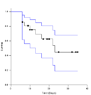
打ち切りシンボルと故障シンボル付きの生存曲線と 95% 信頼区間
95% 信頼区間を追加するには:

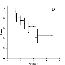
標準誤差エラーバー付き生存曲線
標準誤差のエラーバーを追加するには:
この例は、両シンボル付きの生存曲線と 95% 信頼区間に Graph Properties を使って変更を加えるものです。

両シンボル付きの生存曲線と 95% 信頼区間

両シンボル付きの生存曲線と 95% 信頼区間に Graph Properties を使って変更を加えた例