Normal Density
![]() |
![]() |
Normal CDF
![]() |
![]() |
Normal Inverse CDF
![]() |
![]() |
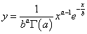
Gamma Density
![]() |
Gamma CDF
![]() |
![]() |
Gamma Inverse CDF
![]() |
![]() |
Exponential Density
![]() |
Exponential CDF
![]() |
Exponential Inverse CDF
![]() |
Weibull Density
![]() |
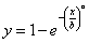
Weibull CDF
![]() |
Weibull Inverse CDF
![]() |
![]() |
Lognormal Density
![]() |
![]() |
Lognormal CDF
![]() |
![]() |
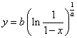
Lognormal Inverse CDF
![]() |
![]() |
Logistic Density
![]() |
![]() |
Logistic CDF
![]() |
![]() |
Logistic Inverse CDF
![]() |
Log-Logistic Density
![]() |
![]() |
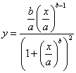
Log-Logistic CDF
![]() |
![]() |
Log-Logistic Inverse CDF
![]() |
Cauchy Density
![]() |
![]() |
Cauchy CDF
![]() |
Cauchy Inverse CDF
![]() |