日本語 English
株式会社ヒューリンクス
TEL:03-5642-8385
営業時間:9:00-17:30

34.15 区分 (Piecewise)

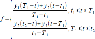
Two Segment Linear (2区分の線形)

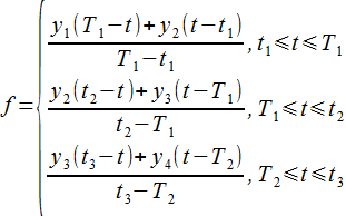
Three Segment Linear (3区分の線形)

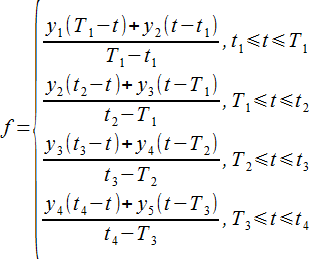
Four Segment Linear (4区分の線形)

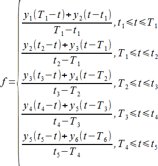
Five Segment Linear (5区分の線形)