日本語 English
株式会社ヒューリンクス
TEL:03-5642-8385
営業時間:9:00-17:30

34.8 Waveform (波形)

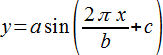
Three Parameter Sine (3パラメータの正弦)

Four Parameter Sine (4パラメータの正弦)

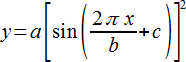
Three Parameter Sine Squared (3パラメータの正弦二乗)

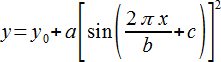
Four Parameter Sine Squared (4パラメータの正弦二乗)

Four Parameter Damped Sine (4パラメータの減衰正弦)

Five Parameter Damped Sine (5パラメータの減衰正弦)

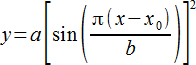
Modified Sin (変形正弦)

Modified Sine Squared (変形正弦二乗)

Modified Damped Sine (変形減衰正弦)