日本語 English
株式会社ヒューリンクス
TEL:03-5642-8385
営業時間:9:00-17:30

34.3 Sigmoidal (S字曲線:シグモイド)

Three Parameter Sigmoid (3パラメータのシグモイド)

Four Parameter Sigmoid (4パラメータのシグモイド)

Five Parameter Sigmoid (5パラメータのシグモイド)

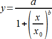
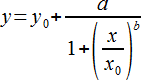
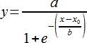
Three Parameter Logistic (3パラメータのロジスティック)

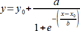
Four Parameter Logistic (4パラメータのロジスティック)

Four Parameter Weibull (4パラメータのワイブル)

Five Parameter Weibull (5パラメータのワイブル)

Three Parameter Gompertz Growth Model (3パラメータのゴンペルツ成長モデル)

f = a*exp(-exp(-(x-x0)/b))

Four Parameter Gompertz Growth Model (4パラメータのゴンペルツ成長モデル)

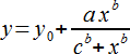
Three Parameter Hill Function (3パラメータの Hill 関数)

Four Parameter Hill Function (4パラメータの Hill 関数)

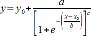
Three Parameter Chapman Model (3パラメータの Chapman モデル)

Four Parameter Chapman Model (4パラメータの Chapman モデル)