日本語 English
株式会社ヒューリンクス
TEL:03-5642-8385
営業時間:9:00-17:30

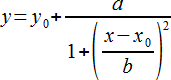
34.2 Peak (ピーク)

Three Parameter Gaussian (3パラメータのガウス)

Four Parameter Gaussian (4パラメータのガウス)

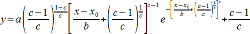
Four Parameter Modified Gaussian (4パラメータの変形ガウス)

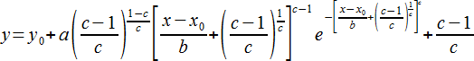
Five Parameter Modified Gaussian (5パラメータの変形ガウス)

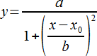
Three Parameter Lorentzian (3パラメータのローレンツ)

Four Parameter Lorentzian (4パラメータのローレンツ)

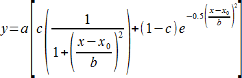
Four Parameter Pseudo-Voigt (4パラメータの疑似フォークト)

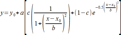
Five Parameter Pseudo-Voigt (5パラメータの疑似フォークト)

Three Parameter Log Normal (3パラメータの対数正規)

Four Parameter Log Normal (4パラメータの対数正規)

Four Parameter Weibull (4パラメータのワイブル)

Five Parameter Weibull (5パラメータのワイブル)