SigmaPlot の線形回帰では、最小二乗法を使用して、データポイントのセット (x i, y i) i = 1, …, n を、以下に示す p 次多項式で近似します。
![]()
この問題をベクトル行列の式で表すと:
![]()
ここで、y n データを含む n * 1 ベクトルは、
![]()
n * (p +1) 形式の行列は、以下のようになります:

β は推定する (p + 1) * 1 ベクトルのパラメータです:
![]()
ε は残差の n x 1 ベクトルです。
パラメータ β の最小二乗推定による解は、
![]()
ここで X ‘ は X の転置行列をあらわします。
SigmaPlot は、コレスキー分解 (Cholesky decomposition) を使用して X’Y の逆行列を求めます (詳細は Dongarra, J.J.,
Bunch, J.R., Moler, C.B., and Stewart, G.W., Linpack User’s Guide, SIAM, Philadelphia,
1979 を参照)。ここから以下の回帰曲線が得られます:
![]()
行列線形回帰に関する詳しい情報は、chapter 2 of Draper, Norman, and
Smith, Harry, Applied Regression Analysis, Second Edition, John Wiley & Sons, Inc., New
York, 1981 をご覧ください。
ワークシートの2つの列にデータポイント (x i, y i) が n 個与えられると、SigmaPlot は以下に示す p 次の多項式回帰を計算します:
![]()
ここで (b 0, b 1, …, b p) は p + 1 で推定されるパラメータ、ŷ 0 は任意の x 0 について予測される y 値です。
計算された回帰式に関する信頼区間は、以下に示す2つの信頼限界で定義されます:
![]()
ここで、X 0 は次式で定義される (p +1) * 1 ベクトルです。
![]()
X は以下に示す n * (p +1) 形式の行列です:

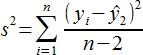
回帰に関する分散から s が得られます

自由度 n – p – 1 に対する t 値と標準正規パーセント点に等しい z (95% 信頼区間では z = 1.96、99% 信頼区間では z = 2.576) は、Sahai, H. and Thompson, W. による
“Comparisons of Approximation to the Percentile of t, χ2, and F Distributions,” Journal of
Statistical Computation and Simulation, 1974, Vol. 3, pp. 81-93 より引用した項数6の有理多項式近似で計算されます。
予測区間は以下の式で計算されます:
![]()