13.2 Area Below Curves
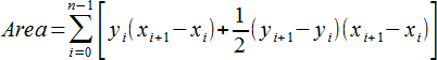
台形近似の法則 (trapezoidal rule) を使用して曲線下の面積を求めます。x 値の間隔が均等でも不均等でも使用することができます。アルゴリズムを以下に示します。

結果を表示する列番号を指定します。Compute をクリックすると曲線下の面積を計算します。指定した列に結果が表示されます。
制限事項:
- このマクロは SigmaPlot の Worksheet を使用する場合のみ機能します。
- このマクロは X データと Y データの両方が揃ったプロットでのみ機能します。
- マクロを実行する場合、散布図または折れ線プロットが含まれるグラフウィンドウを開き、それをフォーカスさせておく必要があります。