
2元系の固溶体 (binary solid solution) を、Ideal (理想溶体) や Guggenheim モデル (非理想溶体) としてあらわして、スピノーダル分解を含む各種計算に組み込めるようになりました。固溶体は連続的に変化させるか、または、非連続に分割された部分として構成するかを定義できます。

Act2 と Tact で、ダイアグラムの境界にマウスを合わせると、それに対応する化学反応が表示されます。 同様に、支配領域 (predominance field) にカーソルを合わせると、そのポイントにおける平衡種と相の組み合わせ (phase assemblages) 表示されます。

クロスプロット、時系列グラフ、Piper ダイアグラム、データポイントの重ね合わせ、その他のデータシートの内容をあらわすグラフ表示が、GSS ドキュメントを編集するキーストロークに応じてリアルタイムに更新されるようになりました。

微生物の異化作用 (catabolic) としての任意の反応速度関数に、同化作用 (anabolic) としての増殖速度を橋わたしすることで、微生物の増殖と個体群動態論を一般化した形でモデル化することができます。

Lothenbach らによるポルトランドセメント系 CaO-Al2O3-SiO2-CaSO4-CaCO3-Fe2O3-MgO-H2O における水和固体のための熱力学データベース CEMDATA 18.1 を追加しました。

会合 (association) または沈殿 (precipitation) 反応の法則に、解離 (dissociation) または溶解 (dissolution) 反応の速度を reaction_rate() ヘルパーを使って橋わたしすることで交換速度論を考慮することができます。

Mathur and Dzombak と Karamalidis and Dzombak による針鉄鉱 (FeOOH) とギブサイト[Al(OH)3] における二重層 (two-layer) 表面錯体形成のための反応データベースを追加しました。

熱力学データベースや表面データベースに潜在的な問題があることが TEdit で見つかると、見つかった問題の一覧がレポートされ、それらの解決策が案内されます。

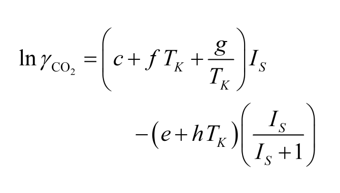
水溶液中の CO2 およびその他の中性化学種の活量係数は Drummond の式を使って、溶媒 H2O の活量は Wolery の式を使って計算されます。