
新たに一般化された静電三重層型モデルでは、Stern 層と拡散層下の結晶学的表面サイト平面を考慮にいれた表面錯体が計算されます。本ディストリビューションには、文献をもとにした三重層型のすぐに実行できる重要なサンプルが含まれています。

ユーザー自身で作成した方程式を GSS データシートに埋め込んで、比率、QA / QC パラメーター、または、2次関数を選択に応じて計算できます。
イオンおよびオキシイオンの収着表面との反応を完全にあらわした CD-MUSIC モデル。それぞれの表面錯体内の電荷の任意の分布を考慮し、USGS の表面反応データベースを利用できます。
X1t, X2t および ChemPluguin のクラスターバージョンを使えば、MPI や MPI/OpenMP のハイブリッドプロトコルを使用したマルチコアサーバーのクラスター上で反応輸送シミュレーションの並列計算を実行することができます。
GWB の表面化学エンジンに全く新しい数値計算法が導入され、もっとも困難な問題にも対処できるようになりました。この計算エンジンの特徴は、基本化学種の適応的交換 (adaptive basis swapping)、大幅に改善された収束、および、電荷の任意分布です。

任意の二重層型や三重層型モデルにおける結晶表面上にある二座 (bidentate) および多座 (polydentate) 錯体の濃度を、Davis-Leckie, Hiemstra-van Riemsdijk, Appelo-Postma, および、化学量論的形式に従って計算できます。
THEREDA プロジェクトの新しいリリース、高温 Pitzer 熱力学データベース(anticipated April, 2020)、および LLNL Yucca Mountain データベースをサポート。

イオン錯体が最初に電荷を帯びた表面サイト上に形成される単一の pKa 反応をつかって競合するマルチサイトの収着モデルを構築できます。

GUI の “Stick points” が合理化され、クリック回数が少なくなり、透明性が向上しました。

熱力学データベースエディタ TEdit は、次のレベルに進化しました。エントリの配置を作成者の順序に保持したり、ドラッグアンドドロップによる反応の再配置などが追加されました。

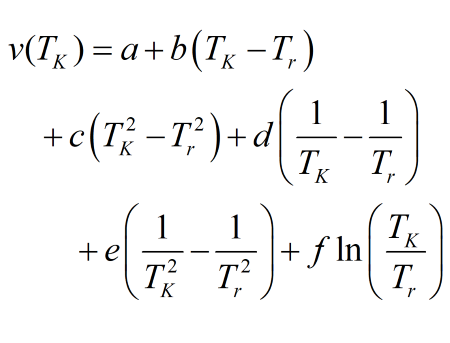
log Ks、ビリアル係数、Debye-Huckel パラメーターの温度展開を正確な6項の多項式として熱データベースで利用できるようになりました。これらはそれぞれ特定の有効温度範囲内でキャストできます。

文献から取得した表面サイトの密度をネイティブの単位で直接利用できるようになりました。sites/nm2 または mol sites/mol mineral を選択します。

“span” 機能を使って適格な温度有効範囲を指定することによって熱データベースからどの化学種を読み込むかを正確に制御できます。この機能は、とりわけ異なる温度で行われた施行を比較する場合に役立ちます。

流体密度はデフォルトで Batzle-Wang 方程式を使用して評価されます。必要があれば Phillips らのモデルに戻すことができます。
Windows の各国のロケールで様々なアプリの表示が改善されました。