地質鉱物探査研究所 (Institute of Geology and Mineral Exploration) の地球化学・環境部門のディレクターの職を退いたアレコス・デメトリアデス氏は、ゴルフコースで日々を悠々と過ごしている訳ではありません。今もなお、世界中の地球化学者のための活動を積極的に継続しています。デメトリアデス氏は、EGS (EuroGeoSurveys) の地球化学専門家グループ、国際地質科学連合 (IUGS: International Union of Geological Sciences) の地球地球化学ベースラインに関するタスクグループ、および、国際地球化学協会のメンバーに所属しています。また、Journal of Geochemical Exploration および Geologia Croatica の副編集者でもあります。
デメトリアデス氏と EuroGeoSurveys (EGS) 地球化学専門家グループのメンバーは最近、”Mapping the Chemical Environment of Urban Areas” (都市部の化学環境のマッピング) という書籍を出版しました。この本の目的は、都市環境における地球化学マッピングとは何かを多くの人々に知ってもらうことです。都市環境に移り住む人が増えるにつれ、必然的に周囲の環境が変化し、物理的平衡と化学的平衡の両方に変化が生じます。都市環境における地震や洪水などの物理的危険は簡単にわかりますが、土壌内の鉛濃度などの化学的危険には、より多くの研究と分析が必要です。「都市部の化学環境のマッピング」という本では、都市の地球化学マッピング手法のさまざまな側面について詳しく説明しています。また、ヨーロッパ、アメリカ合衆国、アフリカ、東南アジアでこれまでに実施されたさまざまな都市マッピングのケーススタディも掲載されています。
デメトリアデス氏とその同僚は、様々なケーススタディを検討しながら都市の地球化学マッピングについての包括的なマニュアルの必要性に気付きました。この必要性は、セミナー中にさらに強まりました。セミナーの参加者は、サンプリング方法、サンプルの準備と保管、分析、品質管理方法に精通していなかったからです。これが、この本の続編として執筆された “URBAN GEOCHEMICAL MAPPING MANUAL: Sampling, Sample preparation, Laboratory analysis, Quality control check, Statistical processing and Map plotting” (都市の地球化学マッピング マニュアル: サンプリング、サンプルの準備、実験室分析、品質管理チェック、統計処理、マップ作成) につながりました。
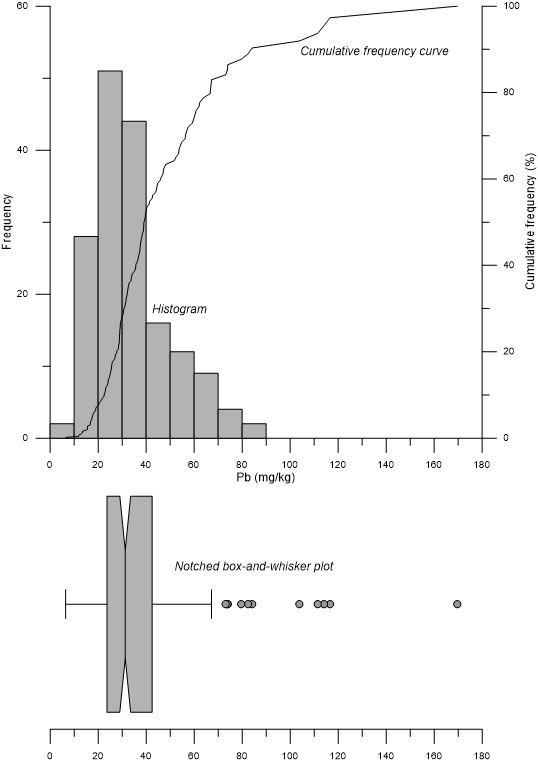
書籍とマニュアルの両方に掲載されている地図やグラフは Golden Software の Surfer と Grapher が使用されています。Demetriades 氏は長年の Golden Software の顧客であり、MS-DOS バージョンから製品を使用しています。長年にわたり熱心な顧客であり続けている理由を尋ねられた Demetriades 氏は次のように答えました。
「私が Surfer と Grapher を使い続けている理由は、ソフトウェアの使いやすさと、高品質のマップやダイアグラムをプロットする効率性です。さらに、Golden Software のパッケージとアップグレードのコストは非常にリーズナブルです。」Demetriades 氏は、「最も重要なのは、技術的な質問に答えたり、無料のリソースを提供したりする Golden Software のスタッフの親しみやすさです。」と付け加えています。



EGS の使命は、EGS とそのメンバーの調査の共同作業を通じて、地球科学の知識を一般大衆に提供することです。デメトリアデス氏は EGS の目標達成を支援しただけでなく、今後も成長と拡大を続ける都市環境で研究する他の科学者を支援し続けてきました。