ロジスティック回帰は、実験に1つ以上のバイナリ応答(データの合否の結果など)が含まれる場合、通常の最小二乗(OLS)に基づく線形回帰よりも予測モデリングに適しています。統計の詳細については、Montgomery、Peck 及びVining共著の “Logistic Regression Models(2012年John Wiley & Sons社から発行)”にある「Introduction to Linear Regression Analysis」のセクション13.2を参照にしてください。ロジスティック回帰のメカニズムは少し複雑ですが(ソフトウェアがこれを処理するので、心配はいりません)、結果の解釈は比較的簡単なのでご安心ください。
事例:地対空ミサイル(SAM)の対空発射テスト
Montgomeryらは、問題13.1で、200〜500ノットの範囲のさまざまな速度のターゲットを対象とした25回のSAMの発射テストの結果を示しています。 この実験がDesign-Expert(DX)でどのように設計されているか、およびヒット(1)またはミス(0)の結果を入力した後、それらがどのようにモデル化、診断、および解釈されるかを見てみましょう。 あなたがこのSAM設備の上を飛んでいる飛行機に乗っていると想像してください。撃墜される可能性を最低限に抑えるために、どれくらい速く飛ぶ必要がありますか?
Design-Expertを開き、“Help” メニューに移動し、“Tutorial Data” にカーソルを合わせ、“SAM Firing Tests” をクリックしてデータを読み込んでください(以下を参照)。
| ※ 注意 このデータは、ヒストリカルデータツールを介して入力されました。“File” -> “New Design” を使用して計画を再構築し、“Yes” をクリックしてください。 空になったデザインシートに戻る手順に進みます。 次に、係数と応答の値を入力します(オプション:スプレッドシートから貼り付けます)。SAM Firing Tests を再度開いて、計画を埋め戻します。 |
| Run | Factor 1 A:Speed knots | Response 1 Hit or Miss 1 or 0 |
|---|---|---|
| 1 | 400 | 0 |
| 2 | 220 | 1 |
| 3 | 490 | 0 |
| 4 | 210 | 1 |
| 5 | 500 | 0 |
| 6 | 270 | 0 |
| 7 | 200 | 1 |
| 8 | 470 | 0 |
| 9 | 480 | 0 |
| 10 | 310 | 1 |
| 11 | 240 | 1 |
| 12 | 490 | 0 |
| 13 | 420 | 0 |
| 14 | 330 | 1 |
| 15 | 280 | 1 |
| 16 | 210 | 1 |
| 17 | 300 | 1 |
| 18 | 470 | 1 |
| 19 | 230 | 0 |
| 20 | 430 | 0 |
| 21 | 460 | 0 |
| 22 | 220 | 1 |
| 23 | 250 | 1 |
| 24 | 200 | 1 |
| 25 | 390 | 0 |
画面左側の Analysis ブランチをクリックします。 DX は応答がバイナリであることを認識し、デフォルトでロジスティック回帰になっていることに注意してください。成功レベルはデフォルトの1のままにしておきます。これは、頭上を飛んでいるパイロット視点ではなく、SAM を発射する人の視点であることに注意してください。

“Model” をクリックし進みましょう。デフォルトでは linear になっています。

“ANOVA” に進むと、マルチビュー表示で有意な p 値と、適切な Pseudo R2 の値を一目で確認できます(必要に応じて、Model に戻り、Process Order のドロップリストから Quadratic に変更します。そうすると、A2 項に有意性がないことがわかります。従って、線形モデルは適切であるといえます)。

次に “Diagnostics” へ進みます。DX が表示するロジスティックモデルのプロットでは、異常値はありません。

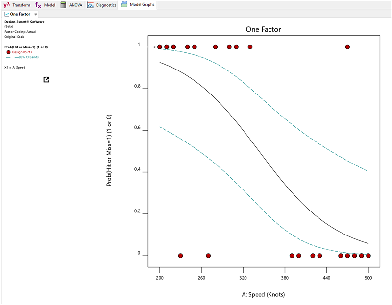
最後に “Model Graphs” をクリックして、予想通りにヒットの確率が速度とともにどのように減少するかを確認しましょう。

Optimization ノードで、“Numerical” をクリックしてください。他のすべての条件が等しいと仮定すると、任務遂行及び燃料節約のために低速度を保ち、飛距離を伸ばすように因子 A の Goal には “minimize” を選択するのが最善です。 次に応答のために、ヒットの可能性を最小限に抑えるよう Logit の Goal でも “minimize” を選択します(SAM で撃墜されそうなパイロットの視点から考えてください)。Limits の Lower は「0.1」を、Upper は「0.2」を入力してください。

次に、“Solutions” をクリックしてください。 デフォルトの Ramps 表示では、最低でも460ノット(時速530マイル)の速度が推奨されていることがわかります(はるかに速いです!)。
これで、バイナリ応答を使用した実験のための Design-Expert のロジスティック回帰ツールを介したチュートリアルを終了します。 結果を保存してから、このデータを用いて最適化のために様々な設計を試してみてください。そして、それを楽しんでください!
