
多くの自然現象は偏微分方程式で記述されます。これら方程式 (特に反応拡散系) の解の大域的挙動を調べています。主に3つのテーマを研究しています。
非線型偏微分方程式では、解を数学的に捉えることは難しいです。厳密解があると重要な手がかりになりますが、なかなか厳密解はありません。近似解からも重要な情報を得ることができます。そんなとき、Mathematica の数式処理の能力は威力を発揮します。また、常微分方程式の数値計算や描画機能は非常に簡単なので多用しています。可視化することによって数式のイメージが具体化され証明の方針を考える際にも役に立っています。


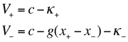
図1:ある自由境界問題の解の形状 (V は曲線の法線速度、κ は曲線の曲率、x+, x– は青、赤の曲線の x 座標をそれぞれ表している)
研究テーマをひとことで言うと、微分方程式の問題に対する数値計算法の数理の研究です。微分方程式は、式変形等の手段では解けない場合が多く、数値シミュレーションが解を調べるための重要な手段となります。その数値計算法の研究をしています。
具体的には例えば以下のものがあります。
数値計算法の多くは、微分方程式を近似する方程式を導き、それをコンピュータで解くのですが、その近似方程式を導く段階において人手で正確にやり遂げるのが面倒な計算がしばしば現れます。そういうときに Mathematica は強力な武器になります。また計算結果を図示する際に、Mathematica の持つ機能 (Manipulate[] を用いてパラメータを変化させて図を描く等) は重宝しています。



図2:重調和作用素の固有関数で再現したクラドニ図形
主に研究しているのは反応拡散方程式におけるパターン形成問題で、自然現象に現れる様々な時空間パターンの性質を調べ、現象のある側面を明らかにします。また、数学の非専門家との共同研究を行い、理論解析部分を担当しています。より詳細には、次のような研究を行っています。
偏微分方程式に現れる、周期的な解の特徴を捉えるために Mathematica を援用しています。1次元の有界区間で特殊な方程式を考えると、解が具体的に書き下せます。ただし、手で解くには計算が煩雑で、手計算の実行は実質的に不可能です。Mathematica を用いれば煩雑な計算から解放されるため、本質的な議論を行うことができます。
結果を描画できることも、研究推進上とても重要です。得られた解が空間パターンを表しているかどうか調べたいとき、パラメータを変化させ、解がどのように依存するか計算せねばなりません。Mathematica であれば複雑な関数でもすぐに描画できますので、計算結果の具体的なイメージをすぐに持つことが可能になります。
IPMC の研究では共同研究者が実験を行い、様々な時系列データを得ることができます。NonlinearModelFit というコマンドを使うとデータフィッティングを非常に簡単に行うことができました。
2013年4月から明治大学総合数理学部が中野キャンパスに開設されます。総合数理学部は、現象数理学科、先端メディアサイエンス学科、ネットワークデザイン学科の 3学科から構成されています (http://www.meiji.ac.jp/ims/ 参照) 。3名は、現象数理学科に所属する予定です。現象数理学とは、数理解析、コンピュータ、モデリングを柱として複雑現象の解明をめざす学問分野です。現象数理学の教育には、数学とコンピュータの融合的な教育が欠かせません。現象数理学科では、入学生に指定のパソコンを購入してもらいます。このパソコンには、Mathematica や C 言語などを事前に導入して、多くの授業でコンピュータを用い数学を実体験できるようにする予定です。また、授業時と同じ環境で自学自習できることも大事です。以上のような理由から、入学時に購入してもらうという方法を採用しました。いくつかの授業を例に Mathematica をどのように授業に導入していくか説明していきましょう。
「微積分II」の授業では、接平面や Taylor 展開を図示しながら、数式の意味を理解します。また多変数関数のグラフがどのようなものか図示することで数式のイメージをより具体的にしていきます。


「微分方程式」では、変数分離系や定数変化法といった解を手計算で求めるための手順を学ぶとともに、古典力学の内容も説明します。
例えば単振動に関する微分方程式を解く際には三角関数が現れますが、これを描画するときに Mathematica は有効です。
振幅や振動数という概念を視覚的に理解することができます。
また、位置と速度に注目すれば 2次元平面における円を描くことが分かり、エネルギー保存則を「見る」ことができます。


図5:生物種の競争モデル
フーリエ解析は、歴史的には偏微分方程式を解くために考え出されたもので、現在でもそうした応用の重要性に変化はありませんが、近年では信号処理への応用の重要性が増しています。
「数学とメディア」では、音や振動を Mathematica を用いて観察したり、フーリエ級数展開の意味を理解し、音の合成や圧縮技術を理解したりします。
「画像処理とフーリエ変換」では画像処理を取り上げることで、多次元のフーリエ解析や畳み込み演算などが、より親しみやすく理解出来るものと期待しています。
Mathematica には、便利な画像処理用の関数がたくさん用意されていますが、授業では自前で書いたプログラムでフィルターを実現して、簡単な画像処理を体験してもらいます。

赤のグラフ:f (x) = 0 (|x| > 1), 1 (|x| < 1)
緑のグラフ:f (x) のフーリエ余弦級数第10項までの和青のグラフ:f (x) のフーリエ余弦級数第300項までの和
図6:フーリエ級数展開
「偏微分方程式とシミュレーション」では、フーリエ級数と解の関係を調べることが必須になります。フーリエ展開の応用例として偏微分方程式がしばしば用いられますが、これを視覚的に理解することも重要です。3次元的な描画を用いれば、時空間的な解の挙動を調べることができます。熱方程式を用いれば熱が平均化される様子、波動方程式を用いれば、周期的な解の挙動を見ることができます。時間が許せば、高速フーリエ変換を用いた陰的な数値計算法を紹介し、Mathematica だけでアニメーションを作成する手順も教えていきます。




【N】15年ほど前にミネソタ大学に滞在中にコンピュータ環境が変わったため、プラットフォームに依存しない Mathematica を用いて数値計算を行いました。それ以降、Mathematica は研究には無くてはならない存在になっています。
ある種の偏微分方程式の厳密解の構成したときのことですが、長い時間かかって手で計算した厳密解が Mathematica では一瞬で答えがでました。このときは、少し悲しい気にもなりましたが、確認ができて安心しました。
【K】最初に解いた意味のある問題は、棒の振動問題に由来する 4階微分作用素の固有値問題で (行列の一般化固有値問題になります) 、色々なやり方で解き比べてみましたが、Ritz の方法で Mathematica を使って計算したものが一番良い結果だったので、強い印象を受けました。
【 I 】共同研究者が利用していたこと、大学院 (先端数理科学研究科 http://www.meiji.ac.jp/ams/ 参照) の講義で使用する必要があったことがきっかけになりました。基本的な命令を覚えた頃、研究でも Mathematica を使えそうだと感じたので、使い始めたところ非常に便利であったので、現在高頻度で使用しています。
【N】数式処理、描画機能には助けられています。
【K】そうですね。グラフィックス描画が最も有効な機能です。高校までの学校数学では、1変数関数のグラフの描き方をじっくりと学びますが、グラフの鳥瞰図、等高線・等値面等の可視化は人手でするのはかなり困難です。3次元グラフィックスは、紙の上に印刷されたものを見るだけでは分かりづらい場合が少なくありませんが、コンピュータを用いてモニター上に描画して、パラメータを変更して試行錯誤してみたり、見る方向を変えてみたりすることで分かりやすくなります。
【 I 】例えばテイラー級数をした際、低次から徐々に高次の近似を用いると、関数を近似する様子が良く分かります。近似したい点と、その点から遠く離れた点における近似の違いを見ることで、テイラー展開の精神を感じることもできるでしょう。フーリエ級数に対しても同様のことが言えます。
他には陰関数や、パラメータを含んだ関数、ベクトル場を描画する際には便利です。
非常に煩雑な手計算が必要なとき、Mathematica を利用しています。例えば行列計算やテイラー展開は、その概念は理解できても、計算を実施すると比較的計算量が多いのです。行列の対角化を行う場合、行列の固有ベクトルを求めて直交行列を定義し、直交行列ともとの行列を掛けなければなりません。計算に長時間とられてしまう一方、学生はしばしば計算を間違います。このような場合でも Mathematica を用いれば、数行の命令を用意するだけで計算が終わります。もちろん、手計算も大事にしています。
【N】他には、常微分方程式の数値計算にもよく使います。コンピュータを脳の一部として使うには、Mathematica は欠かせないプログラムです。その一方、積分計算など大変便利になりましたが、どのような方法で計算したのか分からないことも多くなってきました。途中の計算過程が見えるようになると教育効果は更に上がると思います。



本事例作成に関し、各先生のご協力に感謝いたします。
(インタビュー:2012 年10 月)
※所属・役職は取材当時のものです。
製品情報