MacTempasX 本体はアプリケーションフォルダにドラッグすれば、インストールできます。その関連ソフト (ライセンスキーのドライバソフトウェア) は、インストーラをダブルクリックしてインストールして下さい。なおドライバソフトウェアは、インストール手順書に書かれている順番にインストールしないと、正常に動作しません。ドライバソフトウェアのインストールが済んだら、ハードウェアキー (ドングル) を USB ポートに差し込み、MacTempasX を起動して下さい。
MacTempasX は、ハードウェアキーによってライセンス情報の管理を行っております。MacTempasX 本体は複数のコンピュータにインストールしておくことができますが、実際に起動できるのはハードウェアキーを差したコンピュータだけとなります。ハードウェアキーを差していない場合は、デモモードでの動作となります。
MacTempasX を初めて起動すると、ユーザー情報を登録するためのウィンドウが表示されます。お名前と所属を入力して、Set ボタンをクリックして下さい。
HRTEM 位相コントラスト画像のシミュレーションは、構造計算、散乱プロセス、イメージ合成の3つの計算に分割することができます。MacTempasX は、Calculate メニューコマンドを使って、それぞれの独立した計算を呼び出すことができます。
Calculate メニューの残りのコマンドは、メニューの章で説明します。
結晶の投影ポテンシャル (Projected Potential コマンド) の計算では試料の構造のみを考慮しますが、電子波動場 (Exit Wavefunctions(s) コマンド) の計算では試料と電子波動の相互作用を取扱い、Image(s) normal calculation コマンドでは電子顕微鏡のレンズシステムを考慮したシミュレーションを行います。一度シミュレーションを実行したら、以後のシミュレーションではすべてを再計算する必要はありません。電子顕微鏡のパラメータ (電圧を除く) を変えただけなら、投影ポテンシャルおよび出射面の波動関数の計算には何の影響もありません。結晶構造像を再描画するだけで済みます。電子顕微鏡の電圧、または試料の厚さ・傾斜を変更した場合には、投影ポテンシャルの計算には影響はありませんが、出射面の波動関数と結晶構造像は再計算する必要があります。試料の構造を変更した場合は、もちろんすべての再計算が必要となります。
MacTempasX は、シミュレーションの過程で様々なファイルを生成し、保存します。主要な 6つのファイルは以下の通りです。
シミュレーションを実行するために最初のステップは、入力ファイルの作成です。これは、File|New Structure File… メニューコマンドで実行することができます。このコマンドを実行すると、立方晶のデフォルト設定値がダイアログに標示されます。作成したい構造のテンプレートとして使用して下さい。

A, B, C, alpha, beta, gamma
Spacegroup #(Int. Tables)

可能な場合は、空間群の追加設定を行うことができます。特に空間群を指定しない場合は、対称操作が x, y, z だけの空間群 P1(1) を使用して下さい。対称操作のダイアログを開くと、追加の対称操作が指定できます。
Show (# of atoms in Basis)

# of Atoms in the Basis
Show (# of Symm. Ops.)

Show (# of Atoms in UCell)

# of different atoms
Zone-axis
Num slices per cell
Gmax
Thick.(beg.inc.end)
Store Ampl./Phases|Set…

Cent. of the Laue Circle
Type of Absorption

Microscope Name

Voltage
Defocus (beg.inc.end)
Minimum Intensity to be included in the lens
Strong Central Beam
Cs
Convergence Angle
Spread of defocus
Obj. apert. rad
Cent. of Obj. Lens Aprt
Cent. of the Optic Axis
Two fold (Astigmatism)
Three fold (Astigmatism)
Coma
Mechanical Vibration
Tempasの多くの機能は、Tempasのメニューから実行されます。
これにはマルチスライス計算も含まれます。さらに、ほとんどのオプションはメニューから設定されます。以下は、現在利用可能なメニューの一覧とその機能の説明です。
4-1. Fileメニュー
4-2. Editメニュー
4-3. Optionsメニュー
4-4. Commandsメニュー
4-5. Parametersメニュー
4-6. Calculateメニュー
4-7. Tablesメニュー
4-8. Quantitativeメニュー
4-9. Processメニュー

New Normal Structure…

New Layered Structure…



Open Structure File…
Recent Simulation Files Menu
Close
Save…
Save As…
Open Image…
Recent Images Menu
New Image…
Image Stack Menu


Print…

Undo, Redo
Cut
Copy
Paste
Paste Into…
Delete
Duplicate
Select All
Object/Image Info…
Show Object in SeparateWindow
Annotations

Arrange Object


Live Microscope Control…

Automatically Erase Display
Overlay Atoms
Montage…

Slice Method…

Show Microscopes…

Scattering Factors Parameter Fit…

Edit Scattering Factors…

Convert Crystal Cell to Monoclinic
Unit Cell is Entire Specimen
Modify Specimen Bounds


Erase DisplayWindow
Draw Atomic Model…



Draw CTF -Sin (chi)

Draw 2D CTF…

Draw Pendelløssung Plots…
Define Potentials…
Stack Potentials…
Slice Unit Cell…


Show All Simulation Parameters…

Show Crystal Structure…

Show Specimen Parameters…

Show Microscope Parameters…


このメニューの有効なコマンドは、現在の計算状態に依存します。
現在のパラメーターセットでシミュレーションが既に実行されている場合、
有効なコマンドは表示されません。パラメーターに変更が加えられた場合、
またはファイルが新規に作成された構造ファイルの場合、
実行が必要なサブプログラムを示すコマンドが
有効に表示されます。
Full Calculation
Projected Potential
Exit wave functions(s)
Image(s) (normal calculation)
Image-Plane wave functions(s)
Image(s) (incoherent summation)…

Image(s) (frozen phonons)…

Weak Phase Object Images

Ring Pattern…

Kinematical SAD Pattern…

Integrated Diffraction Pattern


Kinematical CBED Pattern…


CBED Pattern…


STEMImage…











Reciprocal Space Info…

Spacing and Angle Calculator…

Search for Angle…



実験画像と出口波動関数を計算データと定量的に比較するためのメニューです。
構造精製と画像パラメータの精製もこのメニューから実行できます。
◀Quantitative メニュー
ルーティンの実行
| ※ 注意: すべての手順では、実験画像が計算に使用された単位格子の正確な領域をカバーしていることを前提としています。したがって、ユーザーは実験データから単位格子のモチーフを抽出してから使用する必要があります。 単位格子という用語はシミュレーションで使用されるモデルのサイズを指すため、やや曖昧に用いられています。 実験画像はシミュレーションと等しくサンプリングする必要はありません。 ルーチンは実験データをシミュレーションに合わせるように再サンプリングするためです。 パラメータの最適化と構造の最適化には、実験とシミュレーションの適合性を最大化する「唯一の」パラメータ解を探索する複数のアルゴリズムが存在します。 このプラグインは、シミュレートされた熱的アンネリングに基づくアルゴリズムを採用しており、この手法の詳細は本マニュアルの末尾の章で説明されています。この方法の有効性については一切の保証はありません。最終的な解が適合度のパラメーターにおけるグローバル最大値/最小値を表す保証もありません。最適化ルーチンの有効性は初期パラメーターに依存します。初期条件の設定には定まった方法はありませんので、このプログラムの最適化ルーチンを使用する経験を重ねる必要があります。パラメーター/構造の精緻化には、試行錯誤が不可欠な部分です。 |
Load Experimental Image
Load Standard Deviation Image
| ※ 注意: 読み込んだ画像ウィンドウの上に別のウィンドウがある場合、「実験」画像と「標準偏差」画像を前面に表示するために、これらのウィンドウを移動する必要がある場合があります。 これらの画像を自動的に前面に表示するコマンドはありません。 |
Use Front Image as the Experimental Image
CompareTwo Images…

Compare ExperimentWith Simulation


POINTER TOOL
SELECTION TOOL
HAND TOOL
MAGNIFICATION TOOL
Reset View
比較対象領域の選択
Compare Entire Image
Selection
| ※ 注意: 選択機能は「差分画像」には適用されません。「差分画像」は自動的に画像全体を比較するためです。 |
Selecting a method of comparison
Statistical cross correlation coefficient (CCC):
Real Space

Reciprocal Space
Exact

Only Amplitudes

Chi-Square

Root Mean Square Difference

Difference Image

Fractional Mean Absolute Difference

CompareXWAmplitude/Phase with simulation
Refine Parameters

Setting Image Comparison region

Running the parameter refinement

Refine Structure



Atoms In Comparison Region
Optimize…

Deselect All Atoms
Show only symmetry related atoms/Use Symmetry elements
Set Chemical Constraints

Include Bond Valence Sum Optimization
Running the Refinement

SymmetryTransformCalculator

リスト
Original Operators
Original Basis
Original Unit Cell Atoms
New Operators
New Basis
Original Unit Cell Atoms
Convert
| ※ 注意: 任意の入力が対称性を生じないことを理解することが重要です。それでも、対称性演算子の変更により、同じ空間群で表現される可能性があります。 |
Export New Set

プロセスメニューは最も大きなメニューであり、すべての画像処理機能の源です。
このメニューにはサブメニューも含まれています。
Image Calculator

Linked FourierTransform
Hanning Masked FFT
Soft Circular Masked FFT
Inverse FFT
Power Spectrum
Edit Mask…
Lattice Mask Properties..

Annular Mask Properties…

Apply Mask(s)
Fourier Filters

Wiener Filters – different strengths
Background Subtraction Filters – different strengths
Gaussian Low Pass Filter…
GaussianHigh Pass Filter…

Annular Low Pass Filter
AnnularHigh Pass Filter

Spatial Filters

Convolution…

Sharpen
Smooth
Laplacian
Sobel
| -1 0 1 | -1 -2 -1 | ||
| X: | -2 0 2 | Y: | 0 0 0 |
| -1 0 1 | 1 2 1 |
Remove CCD Defects
Transform
Invert
Scale…
- 現在の画像をスケーリングします。新しい画像は、xとyの相対的なサンプリングを保持するかどうかは場合によります。

Rotate…


Oversample
Repeat…
Pad…

Bin Image
Flip about Vertical Axis
Flip AboutHorizontal Axis
Rotate 90 Deg. Clockwise
Rotate 90 Deg. Counter Clockwise
Statistics

Calibrate…
Extract From Complex

Correlation / Convolution

Auto Correlation
Cross Correlation…
Phase Correlation…

Convolute…
Deconvolute…
Align…

Azimuthal Average


1D Image

2D Image Split Plane

2D Image

Template Matching…




Peak/Lattice Analysis

Find Peaks…



Add Lattice
Edit Lattice..

Fit Lattice..
Analyze Displacements…

Geometric Phase Analysis…
Cryst Image Processing…(Crystallographic Image Processing…)



Focus Determination

Image Info…

多くのオブジェクトにはコンテキストメニューが関連付けられています。以下に、そのいくつかと、関連付けられているオブジェクトを示します。








ファイルメニューの「新規…」で作成される構造ファイルは、テキスト形式のファイルで、テキストエディタで作成できます。Tempas を使ってこのファイルを作成するのではなく、ファイルを直接編集することが望ましい場合もあります。実際、ユーザーは構造ファイル内のデータを生成するプログラムを作成したい場合もあります。特にそのような目的のために、構造ファイル .at のフォーマットは以下のとおりです。
| Line | Parameter(s) | Meaning |
|---|---|---|
| 1 | Title | この構造の任意の説明 |
| 2 | SpaceGroupNumber | 名前の通り、230 個の空間群 (1-230) の 1 つ |
| 3 | a b c a b g | 格子定数と角度 |
| 4 | Gmax | マルチスライス計算における逆格子ベクトルの最大値 ポテンシャルはこの値の 2 倍まで評価されます (単位 Å-1) |
| 5 | iu iv iw | 電子ビームの方向(実空間結晶格子ベクトル単位) |
| 6 | NSymops Nslices | 対称演算子の数、(I3d) 単位セルあたりのスライス数、およびNslicesが1と異なる場合のみ、2次元(0)または3次元(1)ポテンシャル計算を示すフラグ |
| 7 | NBasis Ntypes | 基底に含まれる原子の数、異なる原子タイプの数 異なるタイプには、異なる化学記号または異なるデバイ・ワラー係数が関連付けられます |
| 8 | it symb x y z | 原子タイプ(1 – NTypes の数)、化学記号、格子ベクトルの相対単位での x, y, z 座標、デバイ・ワラー係数、占有係数 |
| 9 | 原子番号2については8行目と同じ | |
| 10 | 原子番号3については8行目と同じ | |
| 8+NBasis | MicName Cs Del Th | 顕微鏡の名前、球面収差(mm)、焦点ずれの広がり(Å)、および発散半角(mrad) |
| 9+NBasis | Voltage | 加速電圧(kV) |
| 10+NBasis | Lh Lk | ラウエ円の中心を、変換された逆格子のhとkの単位で表したもの(実数) |
| 11+NBasis | Thickness | 試料の厚さ、またはT1,T2,DT 最初の厚さ、最後の厚さ、増分 カンマは必須 |
| 12+NBasis | IPlot | プロット可能な振幅(YES/NO) |
| 13+NBasis | ih ik il | 保存する反射のインデックス |
| Defocus | 対物レンズのデフォーカス( IPlot == NO の場合 ) | |
| D1,D2,DD | 最初のデフォーカス、最後のデフォーカス、増分 カンマは必須( IPlot == NO の場合 ) | |
| 14+NBasis+NAmp | ApertureRad | 対物レンズのアパーチャー半径(Å-1 単位) |
| 15+NBasis+NAmp | Ah Ak | 対物レンズの絞りの中心を、変換された逆格子単位胞のh、kの単位で表したもの。 |
| 16+NBasis+Namp | Oh Ok | 光軸の中心をAh、Akと同じ単位で表します。 |
| 17+NBasis+Namp | s1,s2,s3 | 対称演算子番号1。例:x+1/3、y+5/6、z+1/3。カンマは必須 |
| 17+NBasis +Namp+NSymop | istat | この構造の計算ステータス、新しい構造の場合、これは1になります |
| 18+NBasis +Namp+NSymop | Vibration | A における機械振動の半値幅 |
| ※ 注意: Microsoft Word、Write Nowなど、異なるワープロソフトを使用する場合は、テキストファイルが最後に「テキスト」形式で保存されていることを確認してください。 |
Tempasを用いた計算例として、BCSCO超伝導体構造を考えます。Tarasconら (1988) によって決定された構造を用いて、モデル構造の入力、構造の検証、回折パターンとシミュレーション画像の計算、そして表示と印刷に必要な手順を示します。
TarasconらがPhys. Rev. B 37 (1988) p.9382-9389に発表したように、この正方晶構造は以下のパラメータを持ちます。
空間群:I4/mmm
格子パラメータ:a=b=3.814Å、c=30.52Å、a=b=g=90
基底関数には9つの原子位置があります。
| Atom | Wyckoff notation | x | x | z | Occupancy |
|---|---|---|---|---|---|
| Ca | 2a | 0 | 0 | 0 | 1 |
| Sr | 4e | 0 | 0 | 0.1097 | 1 |
| Bi | 4e | 0 | 0 | 0.3022 | 0.87 |
| Bi | 4e | 0 | 0 | 0.2681 | 0.13 |
| Cu | 4e | 0 | 0 | 0.4456 | 1 |
| O(1) | 8g | 0.5 | 0 | 0.446 | 1 |
| O(2) | 4e | 0 | 0 | 0.375 | 1 |
| O(3) | 4e | 0 | 0 | 0.205 | 1 |
| O(4) | 4e | 0.5 | 0 | 0.205 | 0.065 |
すべての原子の等方性熱パラメータは 3.6 Å2 に固定されています。
Tempas に新しい構造を入力するには、まず「ファイル」メニュー(セクション 3.3)から「新規構造ファイル…」を選択します。「新規ファイル」ダイアログにファイル名を入力すると、Tempas はデフォルトの立方構造を作成します。
入力データを保存するファイル名を指定します。後で開くときに簡単に覚えられるような、わかりやすい名前にしてください。拡張子は使用しないでください。
構造に合わせてデータを変更する必要があります。シミュレーションを素早く設定する最も簡単な方法は、メニューバーの「パラメータ」メニューの「すべてのシミュレーションパラメータを表示…」メニューコマンドを選択することです。
これにより、計算のすべてのパラメータを設定できる次のダイアログが表示されます。

Spacegroup # 139
a 3.814
c 30.52
Gmax(default=2)
Zone Axis 0,1,0
Number of slices per unit cell (default=1)
Show Basis
| Chemical Symbol | Ca |
| x,y,z | 0,0,0 |
| Debye-Waller Factor | 3.6 |
| Occupancy | 1 |
最初の原子のデータには、カルシウムの化学記号(Tempasが適切な散乱係数テーブルを選択するために使用)、原子座標、温度係数(またはデバイ・ワラー係数)、および占有係数が含まれます。
| Chemical Symbol | Sr |
| x,y,z | 0,0,0.1097 |
| Debye-Waller Factor | 3.6 |
| Occupancy | 1 |
2番目の原子位置も同様に入力します。
応答は以左図のとおりです。
| Chemical Symbol | Bi |
| x,y,z | 0,0,0.3022 |
| Debye-Waller Factor | 3.6 |
| Occupancy | 0.87 |
3番目の原子位置も同様ですが、占有率は0.87に設定されます。
9つの原子位置をすべて入力したら、Tempasはシミュレーションを計算する電子顕微鏡のパラメータが必要になります。
Microscope 4000EX
SpecimenThickness 40 20 80
Store Ampl./Phases No
Voltage (400)
Center of the Laue Circle 0,0
Objective Lens Defocus -200 -200 -800
Aperture Radius 0.5
Center of theObjective Aperture 0,0
Center of the Optic Axis0,0
弱位相物体(WPO)近似は、特定の球面収差Csが与えられた場合に、異なる分解能レベルで特定の構造についてどのような情報が得られるかを調べるのに有用なツールです。
WPO近似については既に説明しており、ここでもその情報の一部を取り上げます。WPO近似には2つの重要な仮定があります。
電子の波動関数は次のように表すことができます。
![]()
ここで、Ψ(x,y)は点(x,y)における電子の波動関数、V(x,y)は同じ点における投影された静電ポテンシャルです。
σは電子と原子のポテンシャルとの間の相互作用パラメータ、tは試料の厚さです。この最初の近似は、軽い原子を含む非常に薄い試料に適しています。
レンズX(u)によって引き起こされる位相シフトを考慮すると、
![]()
理想的なシェルツァーレンズとは、gベクトルが1/分解能以下の回折ビームをすべて透過し、gベクトルが1/分解能より大きい回折ビームをすべて遮断するレンズです。さらに、レンズを通過するすべてのビームに、中心ビームに対して90度の位相シフトを加えます。これは、散乱イベント自体によってもたらされる90度の位相シフト(上記の式の「i」)に加えて、レンズを通過するすべての散乱ビームが中心ビームに対して180度位相がずれる原因となります。
上記の2つの仮定の下、WPO近似におけるフーリエ空間における像強度は次のように表すことができます。
![]()
ここで、umaxは像に含まれる最大の逆間隔です。
Fはフーリエ変換を表します。空間周波数が所定の周波数で帯域制限された後、像強度は次のように表すことができます。
![]()
これは、弱位相物体近似とシャーツァーレンズの下では、原子の位置である静電ポテンシャルの高い領域で像強度が低いことを示しています。原子番号の大きい原子は、像の中でより大きく暗い領域として現れます。このタイプの像は、多くの場合、シャーツァー焦点ずれの薄い試料の同等の分解能を得るために、フルマルチスライス計算によって計算された像と外観が似ています。
WPO近似は、マルチスライス計算と同じ方法でメニューバーから呼び出されます。 WPO計算への入力は、開始分解能(Å単位)と終了分解能です。分解能のステップ数は、固定(ユーザー設定)または自動に設定できます。自動ステップを選択した場合、プログラムは1/開始分解能以内にある反射に対応する最初の画像を計算し、終了分解能に達するまで、より高い分解能に対応する次の反射セットについて新しい画像を計算します。


層状構造とは、電子ビームの方向に沿って組成が変化する特殊な「構造」です。例としては、非晶質材料の表面層を持つ結晶性材料が挙げられます。また、電子ビーム方向の繰り返し間隔が長すぎて、繰り返し間隔をスライス厚として使用できず、単位胞を原子含有量の異なる複数のスライスに分割しなければならない結晶性構造も挙げられます。例として、LayAと呼ぶ3つの層を取り上げます。
LayBとLayCです。これらの各「層」は、いわゆる「単一」構造です。つまり、格子定数と原子組成を持つ単位胞として定義されます。共通点は、電子ビームに対する格子定数AとBが同じであり、それぞれ同一のサンプリングを使用することです(右図を参照)。
層状構造の考え方は、3つの層を任意の順序で配置して全体構造を構成できるというものです。「層状」構造の画像を作成および計算する手順は次のとおりです。

1) 3つの層LayA、LayB、LayCを、電子ビーム(AとB)に垂直な方向の単位胞寸法が同じ単一構造として定義します。
2) Gmaxに同じ値を使用して、各構造LayA、LayB、LayCの位相格子を計算します。
3) Tempas で「新規層状構造」オプションを使用して新規構造を作成します。格子定数 A や B などの情報を入力するよう求められます。層状構造には原子情報自体がないため、原子に関する情報は入力不要です。試料の厚さを入力するよう求められますが、構造の内容が定義されていないため、この時点ではこの値は意味を持ちません。A と B の値は、LayA、LayB、LayC の構造から取得されます。層状構造を作成すると、デフォルト値として 2 Å-1 が与えられます。LayA、LayB、LayC の位相格子の計算で異なる値が使用された場合、メインパラメータでこの値を変更する必要があります。

4) 3) の情報を入力するとファイルが作成され、層状構造の「構造」または「位相格子」の内容を定義する必要があります。これは「位相格子の設定…」コマンドを使用して行われます。

新規ファイルの場合、位相格子はリストに表示されません。レイヤーを定義するには、「追加…」コマンドを使用する必要があります。使用可能な位相格子ファイル(.pout)のリストが表示されます。LayA.poutをダブルクリックし、LayA.poutの計算に使用したスライス厚の値を入力します。
LayBとLayCについても同様に繰り返します。

これで、プログラムは使用可能な位相格子の情報を取得しました。最後に、「スタッキングの定義…」ボタンを使用してシーケンスを定義します。シーケンスは複数の方法で定義できます。1つの方法は、シーケンスを次のように入力することです。1,1,1,1,1,1,2,2,2,2,2,2,3,3,3,3,3,1,1,1 ここで、1はLayA、2はLayB、3はLayCを表します。コマンドを使用してシーケンスを定義することもできます。試料は常に左側に色付きのバーとして描画されます。これで構造の定義が完了します。
5) 次に、メインパラメータをチェックしてすべてが正しいことを確認し、最後に計算を実行します。計算はマルチスライスから開始されます。

背景
幾何位相解析ルーチンは、特定の逆格子周波数付近の変化を解析することにより、参照格子に対する変位とひずみを求めます。
多くのルーチンは、階段ロッド計算のHRTEM像の例を用いて説明します。
解析対象の画像を最前面のウィンドウに表示した状態で、メニューから「幾何位相解析」を呼び出します。

| ※ 注意: 1) 画像は正方形である必要があります。または、分析する画像には、上記の基準を満たす選択範囲が存在する必要があります。 2) デフォルトでは、プログラムは自動的に画像のフーリエ変換を計算し、「現在の表示画像」として設定します。元の画像は、「現在の表示画像」プルダウンメニューから選択することで表示できます。 ![]() |
位相画像の作成
このルーチンは、選択された反射に関連する幾何学的位相およびその他の画像を計算します。
実行される計算は、元の画像のマスクされたフーリエ変換の逆フーリエ変換です。問題のマスクは、以下に定義されるタイプのマスクであり、逆空間周波数 g を中心としています。
振幅画像 A(r) と位相画像 P(r) = -2πg.∂u(r) が生成されます。
位相から 2πg.r の項が差し引かれており、これは原点を反射 g の位置に移動することと同等です。
∂u(r) は、周波数 g で定義される格子面に対する変位場です。
あらゆる場所の局所値を計算するには、次のようにします。
g(r) = -∂/∂r P(r) + g
使用方法:
1) G1ツールまたはG2ツールのいずれかを使用してGベクトルを選択する必要があります。
「位相画像計算」ボタンが有効になります。反射をクリックすると、選択した反射の周囲に円が描かれます。マスクのサイズは、描かれた円の半径によって決まります。半径は、ハンドルを操作するか、希望する半径を入力して「設定」ボタンをクリックすることで変更できます。
2) メニューコマンド「位相画像計算…」を呼び出します。
3) 位相画像を作成するためのオプションを示すダイアログが表示されます。
Options:
マスク
マスクの種類として以下の選択肢があります。
出力
幾何学的位相画像を保持(デフォルト)。通常はこれで十分です。

局所gベクトルを計算して表示します。
これは、画像内の各点におけるg(r)のx成分とy成分を含む2つの画像を計算します。
振幅画像を保存して表示します。
振幅画像と位相画像を計算するマスクされたFTを保存して表示します。
結果の位相画像は、項を減算することで計算されます。
ここで、g0はパワースペクトルのピーク強度の位置を求めて返された値です。
結果の画像は、デフォルトでPhase ImageとAmplitude Imageという名前が付けられます。

| ※ 注意: 1) 位相像を計算した後、次に行う操作は、局所gベクトルを改良することです。これは、位相像内で格子間隔が一定とみなされる領域を選択し、メニューコマンド「局所平均gベクトルの検出」を呼び出すことによって実行されます。これは、この方法で求められた間隔が、後続の計算の基準となることを意味します。 2) 変位とひずみを計算する前に、2つの非共線周波数g1、g2を定義する必要があります。 3) g1を改良した後、次のステップは、前のステップと同じ方法でG2ツールを使用してg2を設定し、g2を改良したときと同じ領域の局所ベクトルを改良することです。 |
局所gベクトルの調整
背景:
変位やひずみを計算するには、参照格子が必要です。前のコマンドで位相画像を作成したときに検出されたベクトルgは、振幅が最も大きいベクトルであり、必ずしも参照格子として選択したいベクトルとは限りません。ベクトルgをさらに調整するには、選択ツールで、平均格子間隔を計算するための参照領域となる領域を選択します。
参照格子を定義するには、同じ領域に対して調整する必要がある2つのベクトルg1とg2が必要です。
使用方法:
選択ツールで、平均gベクトルを求めたい領域をマークします。
「局所平均gベクトルを求める」コマンドを実行します。このコマンドは、選択領域内に減算すべき残差ランプ2π∂g.rがあるかどうかを判定します。補正値∂gは、「位相画像を計算…」で求められたベクトルgに加算されます。このルーチンは、位相ジャンプのために最初の選択範囲を小さくする必要がある場合、徐々に大きな選択範囲を使用することで、ベクトルgを改良するために繰り返し使用できます。
下の画像は、平均局所gベクトルを求めるために使用する領域を選択範囲でマークした元の位相画像を示しています。右側には、操作の結果が表示されています。
| ※ 注意: 前述のように、2つのベクトル g1 と g2 は参照格子を定義するために使用されます。通常、このコマンドは位相画像が計算される各ベクトル g に対して使用され、その位相画像は位相画像 #1,2 として参照されます。 |
位相の追加
このルーチンは、画像「位相画像」に一定の位相を追加します。通常の操作では、このコマンドは使用されません。位相が2πを超える際に生じるラップアラウンド効果に伴う不連続性を除去するために使用できます。
モアレの作成
使用方法:
このルーチンを使用して、画像「位相画像」から計算されたモアレ画像を作成します。これは、逆空間逆FFTの原点を、原点から空間周波数gへの線に沿って点|g|/Mに移動することと同等です。数学的には、モアレ画像は
P(r) = 2πg.r/M -2πg.∂u(r) となります。ここで、Mはダイアログボックスで選択した倍率です。
M -> ∞は、「位相画像の計算」コマンドで計算された幾何学的位相画像です。
変位計算
このコマンドを実行すると、2つの画像 ux と uy が生成されます。これらは、g1 と g2 で定義された格子に対する局所的な x,y 変位です。
このコマンドを実行するには、「Phase Image 1」と「Phase Image 2」という2つの画像と、それらに対応する g1 と g2 の値が必要です。
このコマンドを実行すると、以下のダイアログボックスが表示されます。
操作の結果として以下の出力が生成されます。
前提条件:
このコマンドを実行する前に、g1 と g2 の両方、およびそれらに対応する画像「Phase Image 1」と「Phase Image 2」が存在している必要があります。
以下は、x 変位をベクトルの x 成分の長さ、y 変位をベクトルの y 成分としたベクトルプロットです。
データは、変位の大きさを示す面プロットとしても表示できます。
あるいは、変位の大きさは、下図のように等高線図として表示することもできます。
ひずみ計算
このコマンドは、g1とg2で定義された参照格子に対するひずみを計算します。
前提条件:
2つの位相画像「位相画像1」と「位相画像2」が計算されている必要があります。
結果:
要求された出力に応じて、結果は以下のいずれか、または複数になります。
a) 変形マトリックス
b) 対称ひずみマトリックス
c) 回転角
d) 主ひずみ成分
次ページの画像は、主ひずみ成分e1とe2を計算して表示するように選択した場合の出力を示しています。e1のx成分とy成分、およびe2のx成分とy成分の4つの画像が生成されます。
手順:
プログラムはまず変形行列を計算します。
これは、点r’ (x’,y’)の位置と、その非ひずみ位置r (x,y)の関係を表わします。
![]()
行列Sは、対称行列S’と回転行列Wに分解されます。
and
with 
こうして対称ひずみ行列が得られ、

計算された3つの成分が画像として表示されます。
2つのベクトルe1とe2も計算され、画像e1x、e1y、e2x、e2yが表示されます。これらはそれぞれ、2つの主ひずみベクトルのx、y成分です。


局所格子の計算
このコマンドは、画像内の異なる点における局所格子パラメータ a と b を計算します。各点における g1 と g2 の局所値と、2 つの反射のミラー指数を用いて、ベクトル a と b によって与えられる格子を参照します。y 座標は、環境設定での設定に応じて、画像座標 (0,0 左上) または通常の座標系 (x,y) を参照できます。
前提条件:
ベクトル g1 と g2 の両方と、それぞれの位相画像(位相画像 1 と位相画像 2)が設定されている必要があります。
例
以下の画像は、In(Ga)N 量子井戸の HRTEM 像に対するルーチンの使用例を示しています。左の画像は HRTEM 像、右の画像はパワースペクトルと格子計算に使用した反射の 1 つを示しています。一番下の 3 番目の画像は、画像内の位置の関数として a 格子パラメータをプロットした表面プロットです。

位相 (x,y) のアンラップ
コマンド「位相(x,y)のアンラップ」は、画像「位相画像」の位相をアンラップします。
ユーザーは開始位置の入力を求められます。開始位置に対応する位相が、その時点で割り当てられます。ルーチンはまず各行に沿って移動し、位相値の連続性を維持しようとします。π-∂から-π+∂へのジャンプではなく、位相はπ+∂の値を取り、位相ジャンプを通過する際に増加または減少を続けます。
このコマンドは、まず画像の行を処理し、次に列を処理します。
位相 (y,x) のアンラップ
コマンド「位相(y,x)のアンラップ」は、画像「位相画像」の位相をアンラップします。
ユーザーは開始位置の入力を求められます。開始位置に対応する位相が、その時点で割り当てられます。ルーチンはまず各列に沿って移動し、位相値の連続性を維持しようとします。 π-∂から-π+∂へのジャンプの代わりに、位相はπ+∂の値を取り、位相ジャンプを通過するときに増加または減少し続けます。
このコマンドは、まず画像の列を処理し、次に行を処理します。
背景
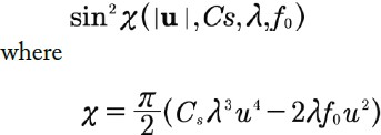
十分な量の非晶質材料が存在する場合、HRTEM像のデフォーカス量は、そのパワースペクトルから決定できます。
これらの条件下では、対物レンズが薄い非晶質材料を通過する散乱電子に及ぼす影響から生じるパワースペクトルの特徴を記述するために、弱位相物体近似を適用できると仮定しました。弱位相物体近似では、HRTEM像のパワースペクトルは、右図の式に比例します。

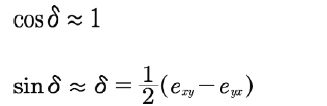
非点収差がなく、焦点の広がり(時間的非一貫性)と輻輳(空間的非一貫性)の影響を無視すると、パワースペクトルの強度はほぼ右図の式に比例する。

これは、パワースペクトルに常に極大値が存在することを示しています。
n = 奇数のとき
したがって、球面収差が既知であれば、パワースペクトルの極大値の位置を見つけ、様々な極大値(リング)にインデックス(n)を割り当て、焦点(f0₎)を解くことで焦点を決定できます。
パワースペクトルに複数のリングがある場合、各リングから得られる焦点の値は異なり、焦点は平均値と標準偏差で表されます。
これらのルーチンを使用する前に、HRTEM像から焦点を計算する際に使用する顕微鏡パラメータを指定する必要があります。設定する必要があるパラメータは、「顕微鏡電圧」と「対物レンズ球面収差定数」です。
さらに、プログラムは画像のパワースペクトル内のリングの探索とリングのインデックスの割り当てにいくつかのパラメータを使用します。プログラムの使用を通してパラメータの影響をより深く理解できるようになるまで、まずはデフォルトのパラメータを受け入れます。


顕微鏡パラメータ
電圧
球面収差
デフォーカスの広がり
収束角
ピーク検出基準
ピーク間の最小距離
フォーカス決定基準
最初のリングを除外
最大リング数を使用する
フォーカス範囲
画像からフォーカスを検出
これは、1枚のHRTEM画像からフォーカス値を検出しようとします。
フォーカスの検出精度は、画像の解像度、フーリエ変換領域のサイズ(逆格子空間における解像度)、パワースペクトル内のリングの数(フォーカス値)、画像内に存在するアモルファス物質の量など、多くの要因に依存します。
手順:
画像が既にキャリブレーションされている場合、またはキャリブレーションが既知でない限り、まず作業対象の画像をキャリブレーションする必要があります。
直線定規ツールを使用して、HRTEM画像に既知の寸法の線を作成し、その線をキャリブレーションします。

ルーチンが動作するには、キャリブレーション単位はÅまたはnmである必要があります。
これが完了したら、2の累乗の寸法を持つ正方形の領域を選択します(領域を選択する際はOptionキーを押したままにします)。この領域には、非晶質領域が含まれます。この例では、1024ピクセルの画像のうち、512の正方形領域が該当します。選択範囲が設定されていない場合、ルーチンは画像全体を使用します。この特定の例では、256の正方形領域を選択すると、逆格子空間でのサンプリングが不十分になり、良好な結果が得られません。
「画像からフォーカスを見つける」コマンドを実行する前に、画像内に選択範囲が1つだけ設定されていることを確認してください。
コマンドを実行すると、次の結果ウィンドウが表示されます。

プログラムは、非晶質含有量に関連するパワースペクトルを半径(逆距離)の関数として計算します。これは、各半径におけるパワースペクトルの振幅の中央値を算出することで行われます。中央値は青緑色でプロットされ、実験データに対応します。1次元データセットのピークが検出され、リングのインデックスが割り当てられます。各リングから焦点が計算され、焦点(デフォーカス)の平均値を使用して、仮想的なコントラスト伝達関数CTFが計算されます。
![]()
CTFは、リストされた値に基づいて次のようにプロットされます。
CTFの最大値は、マウスでドラッグできる垂直マーカーで示されます。マーカーをクリックし、マウスを押したままにすると、最大値の位置を変更できます。すべての最大値が変化し、それに対応する焦点の値が表示されます。インセットとして、実験的なパワースペクトルと、プログラムがリングを見つけるために使用する平均データを示す領域が表示されます。実験データには、現在の焦点値に対応するリングが重ねて表示されます。マーカーを動かすとリングの位置が変わり、ユーザーは手動で焦点値に最適な値を求めることができます。
適切なアルゴリズムを用いることで、回折計算にゾーン外散乱や非ゼロ(または高次)ラウエゾーン(HOLZ)相互作用の効果を考慮することができます。基本的に、「マルチスライス」結晶を記述する位相格子(または投影ポテンシャル)のセットを生成する方法は4つあります。ビーム方向の繰り返し距離が短い構造の場合、最も簡単な方法はユニットセルごとに1つのスライスを使用することです。ビーム方向の繰り返し距離が大きい構造の場合、いくつかの方法が使用できますが、そのうち3つはスライスを「サブスライス」に分割する方法です。Tempasでは、4つの方法のいずれも使用できます。
単位セル繰り返し距離あたり1つのサブスライスのみを持つ同一スライス
すべてのスライスが同一のマルチスライス計算では、入射ビーム方向に沿った構造の変化に関する情報は含まれず、ゼロ次ラウエゾーン(ZOLZ)層との散乱相互作用のみを考慮します。ビーム方向の繰り返し距離が短い構造の場合、エワルド球は(比較的遠い)高次ゾーンに近づかないため、このような計算で十分です。
単位セル繰り返し距離あたりn個のサブスライスを持つ同一サブスライス
ビーム方向の繰り返し距離が大きい構造の場合、電子散乱を十分な精度で計算するためには、スライスを細分化する手法が必要です。最も単純ですが、最も近似的な方法は、全繰り返し周期の投影ポテンシャルを計算し、投影ポテンシャルの1/nを用いて、スライスを完成させるためにn回適用できる位相格子関数を作成することです。この方法は「擬似上層線」(Goodman and Moodie, 1974)との相互作用を回避しますが、実際のHOLZ層は無視します。
原子位置に基づくサブスライス
投影ポテンシャルの細分化の改良点は、単位胞の原子位置を細分化することです。この手順では、単位胞内の原子位置のリストを、入射ビーム方向における原子の位置に応じてn個のグループに分割します。これらのサブスライスされたグループから、異なる投影ポテンシャルが生成され、n個の異なる位相格子が形成されます。これらの位相格子は、スライス全体からの散乱を生成するために順次適用されます。
3次元ポテンシャルに基づくサブスライス
原子位置の細分化のさらなる改良点は、スライス全体の3次元ポテンシャルを細分化することです。これは、あるサブスライス内の位置にある原子は、次のサブスライスにまで広がるポテンシャル場を持つことができるためです。完全な3次元ポテンシャルを計算し、適切なサブスライスにわたって積分する代わりに(128x128x128のポテンシャルでは200万以上のサンプルを保存する必要がある)、サブスライスz0 ± ∂z内のポテンシャルをz0の平面に投影した解析式を導くことが可能です(Self et al., 1983)。この手法は、ビーム方向に大きな繰り返しを持つ構造に日常的に適用でき、連続的に適用するための複数の異なる位相格子を生成することができます。また、ビーム方向に非周期的で、多数の個別の非繰り返し位相格子を必要とする構造(おそらく欠陥を持つ)にも適用できます(Kilaas et al., 1987)。
Tempas のサブスライス
計算の精度を十分に維持しつつ、Tempas は通常、試料、ゾーン軸、加速電圧、最大 g の特定の組み合わせに対して、スライスの定義方法を指定する最も単純(かつ迅速)な方法を選択します。そのため、ユーザーは HOLZ 相互作用が重要でないと判断された場合は無視することができます。HOLZ 相互作用が重要な場合は、オプションメニューで「2DPotential 計算」ではなく「3DPotential 計算」ラジオボタンを選択してください。
2次元計算を選択した場合、ビーム方向のセル繰り返し距離が短い場合、Tempas はセルあたり1つのスライスを使用します。繰り返し距離がユニットセルあたり1つのスライスでは不十分なほど長い場合、Tempas は n 個の同一のサブスライスを作成することで擬似上層線を回避します。
3次元計算を選択した場合(3Dポテンシャル計算が有効)、繰り返し距離が大きい場合は細分化された3次元ポテンシャルを使用し、繰り返し距離が十分に短い場合はデフォルトでセルあたり1つのスライスを使用します。なお、ユニットセルあたりのサブスライス数は、パラメータメニューで明示的に設定することで1より大きくすることができます。これにより、繰り返し距離が短い場合でも HOLZ 相互作用が確実に考慮されます。もちろん、繰り返し距離が非常に短く、逆格子空間で HOLZ が離れている場合、計算とそれがモデル化する実験はどちらも HOLZ 反射と非常に弱くしか相互作用しません。
入射ビーム方向に層状または非周期的な構造からの散乱を生成するために「層状構造」オプションを使用することは、原子位置に基づくサブスライス法の応用に相当します。ユーザーは、選択した原子を異なる構造ファイルに割り当て、各サブスライスに位相格子を形成し、「位相格子のスタック」コマンドを使用してサブスライスをどのように使用して試料構造を記述するかを指定することにより、複数のサブスライスを作成できます。これは、上部ラウエ層を含める必要がある場合、または3次元効果が重要な場合に最初に試すことが推奨される方法です。完全な3D計算を使用するよりもはるかに高速です。
その他の手法
Van Dyckは、HOLZ層の効果を考慮するための他の手法として、ポテンシャル偏心を考慮した2次マルチスライス法(Van Dyck, 1980)や改良位相格子法(Van Dyck, 1983)を提案している。これらの手法の検証により、ポテンシャル偏心を考慮することで生じる追加の計算は有効である可能性があるものの、改良位相格子法は発散しやすく実用的ではないことが示された。
Goodman P, Moodie AF (1974) マルチスライス法による電子散乱におけるNビーム波動関数の数値評価.Acta Cryst. A30, 322-324.
Kilaas R, O’Keefe MA, Krishnan KM (1987) 高分解能透過型電子顕微鏡における計算手法への上層ラウエ層の組み込みについて. Ultramicroscopy 21, 47-62.
Self PG, O’Keefe MA, Buseck PR, Spargo AEC (1983) 電子回折における振幅と位相の実用的計算.
Ultramicroscopy 11, 35-52.
Van Dyck D (1980) 複雑結晶または無秩序結晶の構造像のシミュレーションのための高速計算手順:新しいアプローチ.J. Microscopy 119, 141-152.
Van Dyck D (1983) 高解像度電子顕微鏡写真のシミュレーションのための高速計算技術.J. Microscopy 132, 31-42.
はじめに
HRTEM像のシミュレーションを行う目的は、これらの像を実験データと比較し、構造を決定することです。
実際には、様々なモデルが提案され、一致するまで像が計算されます。一致する像が見つかった時点では、構造(原子位置と原子番号)は、ある程度の不確実性をもって既知であると仮定されます。あるいは、与えられたモデルから始めて、実験とシミュレーションの適合度が最大となるように、モデルを体系的に変化させる方法もあります。これには、実験像と計算像を比較するための効率的な方法が必要です。
また、測定における不確実性(実験像における像強度)に関する知識と、この不確実性を化学組成および原子位置の不確実性と関連付ける方法も必要です。定量的電子顕微鏡法のこの分野は比較的新しいため、ほとんどの像は依然として目視で比較されています。しかしながら、これは活発な研究分野であり、統計学からの多くの手法がHRTEMで使用され始めたばかりです。
定量データの取得
電子顕微鏡写真から定量情報を抽出するには、データを数値で表現する必要があります。通常、TEM画像は、以下のいずれかの方法でデジタル表現されます。
i) 画像を写真乾板に記録し、スキャナーを用いてフィルムの濃度を数値に変換し、コンピュータに保存する。
ii) 画像をイメージングプレートに記録する。
iii) 低速走査CCDカメラで画像を記録し、蓄積された電荷をコンピュータに読み出す。
最初の方法では、フィルムの非線形応答のため、コンピュータの計算結果と直接比較できないデータが得られます。
しかし、露光時間を変化させながら制御された一連の露光を行い、得られた走査値を電子線量に対してマッピングすることで、フィルムの応答を較正することは可能です[1]。
イメージプレートとCCDカメラはどちらも電子線量に対して線形な数値を生成し、計算値と比較するためにはデータのスケーリングのみが必要です[2]。
上記の様々な記録媒体の相対的な利点については多くの議論があり、それぞれに独自の利点があります。CCDカメラは現在2K×2Kピクセルに制限されていますが、近い将来、複数のチップを使用することで6K×6Kまで到達できる可能性があります。変調伝達関数(MTF)を特性評価できるため、電子の広がりや隣接セルへの電荷の漏れ込みによる高周波応答の低下をデコンボリューションで簡単に補正できます[3]。
イメージングプレートはCCDカメラの多くの利点を備え、より広い画像領域をカバーします。しかし、イメージングプレートはCCDカメラほど普及していません。多くの研究室では、現在、フィルムの使用を継続しながらも、多くの記録をCCDカメラで行い始めています。
データの前処理
画像データが数値に変換されたら、必要なデータ処理や変換を行うことができます。必要なデータの前処理は、求める情報の性質によって異なるため、最適な方法は一つではなく、いくつかの選択肢があります。
データのサンプリングと再サンプリング
撮像システムまたは記録システムの動作によって、画像が視野全体で歪んでいる場合、画像のワーピング変換によってデータを再変換することができます。これは、完全に結晶性の物質を撮像し、原子が存在するとされる位置と撮像された位置との偏差を記録することで歪みを判断できる場合に行うことができます[4]。
Gatan Imaging Filterなどの一部のシステムでは、円形の穴の正方格子の画像を記録することで歪みを測定します。
結晶材料の画像は、格子相対座標上に再サンプリングすることができ、単位格子の寸法は整数個のピクセルで表され、最終画像の寸法と一致する。これにより、画像の周期的な連続性を表さない境界上のエッジによって画像が切り捨てられることで生じる、画像のフーリエ変換におけるストリーキングが除去される。ストリーキングは、画像に円形マスクを掛け合わせることで軽減できる。マスクは、指定された半径までは値1を持ち、画像の境界に近い5~10ピクセル以内では徐々に値0に減少する円状のピクセルで表される。マスク処理の副作用として、フーリエ変換におけるノイズが増加するが、これについては後述する。結晶材料の単一のユニットセルの画像のみを決定し、画像シミュレーション計算で得られた画像と比較する必要がある場合、ユニットセルの画像を計算に使用した座標系とサンプリング間隔に再サンプリングすることができます。これは、次の式で定義される行列Mを決定することと同等です。
as = Mae 1)
bs = Mbe
必要な手順は2つあります。1つは格子基底ベクトルを同一にするために必要な回転/スケーリング、もう1つは共通原点の決定です。
実験画像と計算画像の共通原点は、シミュレーション画像と実験画像間の相互相関によって決定されます[5]。
フーリエ変換とマスキング
結晶材料のHRTEM像のフーリエ変換は、格子間隔に関する有用な情報を提供し、実験的なフーリエ振幅と理論計算値の比較にも使用できます。変換される像がW(幅)とH(高さ)の周期関数となることはほとんどないため、純粋な結晶材料の像のフーリエ変換は、完全に周期的な信号(結晶)のフーリエ変換と像の寸法と同じサイズのウィンドウの変換との畳み込みとなり、ブラッグピークはウィンドウの変換の形状をとります。
マスクの使用はウィンドウの変換を変え、ピークプロファイルの減衰を速めるために使用できますが、ノイズレベルの増加を犠牲にします。これは上に示されており、1次元信号にマスクを適用した場合の効果を示しています[6]。これはまた、格子間隔を決定するためのピーク位置の特定や、フーリエ成分の振幅の推定にも影響します。両方の推定値の標準誤差はマスクの適用に応じて増加しますが、コサインウィンドウは良い妥協策となります。

ノイズ低減
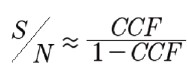
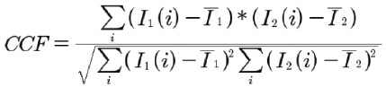
ノイズを低減することに加えて、存在するノイズ量を推定し、信号対雑音比(S/N比)を見積もることも重要です。2つの同等の領域から、2つの領域の相互相関係数を求めることでノイズを推定できます。相互相関係数ccfが与えられている場合、信号対雑音比は次のように推定できます。
2) 
ノイズを低減し、単一のユニットセル(モチーフ)の画像の統計的平均を得るために、個々のモチーフの位置を相互相関によって決定することができます。これらが見つかったら、統計的に同等の領域を平均化して平均モチーフを見つけ、ユニットセル内の位置の関数として個々のピクセルに関連するS/N比を決定します。これにより各ピクセルiの標準偏差が決定され、実験的に平均化された画像と計算された画像とのマッチングに関連する信頼度レベルを設定するために使用できます[7]。
3) 
ここで、Mは平均化される同等の領域の数です。
ローパスフィルタを使用して画像を平滑化することは、ノイズレベルによっては効果的ですが、特に統計的に同等の領域の平均化が実行できない場合に効果的です。平滑化は目で特徴をより明確に認識するのに役立ちますが、画像ピクセル間に相関関係が生じ、シミュレーション不一致基準の有意閾値を歪める可能性があるという欠点があります。
平均化は対称化によっても実行できます。対称化とは、存在することが分かっている対称操作を実行したモチーフのコピーを平均化することです。これにより、M個の対称性関連コピーを平均化した場合よりもノイズレベルがさらに1/4に低減されますが、撮像条件の欠陥が隠れてしまう可能性もあります。
実験画像とシミュレーション画像のマッチング
2つの画像間の類似性または不一致を測定する方法は数多くあります。以下にそのいくつかを示します[8]。
平均二乗差:
4) 
二乗平均平方根差:
5) ![]()
平均弾性率差:
6) 
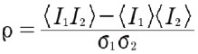
相互相関係数:
7) 
括弧 <> はすべて、括弧で囲まれた量の平均を示します。
これらの各式において、合計は画像内のすべてのピクセル i について行われ、N はピクセルの総数です。上記の相互相関係数は、画像が平均ゼロに正規化された正規化係数です。
CCF(差異ではなく類似性を測定する係数)は、2つのn次元ベクトル(nは画像内のピクセル数)間の外積として解釈することもできます。その場合、CCFに角度を関連付けることができます。これは、2つのベクトル間の内積の一般的な解釈において、角度が であることを意味します。この角度は、同一の画像ではゼロです。上記の正規化相互相関係数の定義のように、画像が平均ゼロで単位長さに正規化されている場合、角度は180度です。 2つの画像I₁とI₂のコントラストを反転させます。
有意性とノイズ
上記の各基準は、測定値の有意性について検定する必要があります。
D²は、どちらの画像でも平均二乗強度(またはノイズによる強度偏差)と比較できます。
Drmsは、どちらの画像でも強度の標準偏差と比較できます。
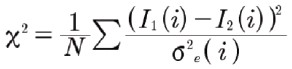
2つの画像間の不一致を検定する良い方法は、画像のノイズが分かっている場合に、2つの画像が等しい確率を統計的に表す尺度を使用することです。実験画像の各ピクセルに相関のないガウスノイズがあると仮定すると、最適な統計的尺度は次式で与えられます。
8) 
ここで、Nは画像内のピクセル数です[9]。この値はピクセルiに関連付けられた標準偏差であり、上記のように、複数の同等の領域から求めることができます。実験画像Ieを計算画像Icと比較し、計算にM個の調整可能なパラメータがある場合、等価な式は[7]
9) 
となる。
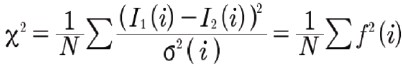
1標準偏差の不一致は上記の式の合計に1を加え、χ²の値が1であれば、2つの画像はノイズによって与えられる不確実性の範囲内で同一であることを意味する。N点からなる統計的に等価な画像の期待値は1であり、この値から1以上のランダムな偏差は起こりにくいと考えられる。
10) 
と書くことで、残差画像[10]の定義が導き出されます。
残差画像は、2つの画像間の(不)一致を視覚化し、定量化するために使用されます。残差画像の利点は、2つの画像の一致度を単一の数値で示すのではなく、局所的な適合度の2次元マッピングであることです。したがって、差分画像では不一致の大きい領域がより明確に示されます。最適な一致は、やはりχ²を最小化することによって定義されます。
フィッティングパラメータは画像のフーリエ変換にも適用でき、比較対象となるデータポイントの数が削減される場合があることに注意することが重要です[11]。欠陥のない結晶材料の画像の場合、フーリエ成分は格子のブラッグ反射に対応する周波数においてのみ非ゼロとなるが、これは厳密には、モチーフが多数の繰り返し領域にわたって平均化され、境界における不連続性による縞模様が除去されるように格子座標上に再サンプリングされた場合にのみ当てはまる。フーリエ係数の複素値は画像強度の代わりに用いられる。
興味深いことに、異なるマッチング基準を使用すると、最適化されたパラメータの値がわずかに異なる可能性がある[12]。
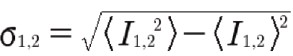
異なる平均値とコントラストレベルの調整
画像強度の絶対値は不明であり、実験画像と計算画像が線形関係にある場合があるため、画像強度を正規化する有用な方法は、平均値を減算し、標準偏差で割ることです。これにより、線形関係にある画像ではD2 = 0、無関係なデータでは約2になります。
同様に、相互相関係数は-1から1の範囲にあり、2つの画像が線形関係にある場合は極値を取り、無関係なデータでは0に近くなります。
もう1つの方法は、画像を同じ平均値にスケーリングすることです。これは次のように行われます。
11) 
ここで、計算画像は実験画像の平均にスケーリングされます。
平均値、コントラスト、画像パターンが画像マッチング基準にどのように影響するかを理解するためには、二乗平均平方根差(Root Mean Squared Difference)を3つの項[13]にどのように分解できるかを考えることが有用です。
12) 
ここで
13) 
および
14) 
第1項は2つの画像の平均の差を表し、両方の画像が同じ平均値に正規化されている場合はゼロになります。第2項は2つの画像間のコントラストの差を表し、第3項(正規化相互相関係数と同じ)は2つの画像のパターンの差(類似性)を表します。
ただし、正規化相互相関係数はパターンの類似性のみを表し、コントラストの変動や平均レベルの差は無視することに注意することが重要です。一般的に、実験画像とコンピュータシミュレーション画像間の不一致のほとんどは、コントラストの差によることが分かっています[14]。コントラストの差は桁違いになることもあり、その原因は一般的に以下の要因に起因します。
しかしながら、計算によれば上記の要因だけではコントラストの差異を解消するには不十分であることが示されているため、コントラストの差異の性質については議論が続いています。考えられる説明としては、実験画像には考慮されていない一般的な背景が存在することが挙げられます。
マッチング基準へのノイズの影響
2つの画像が等しいと判断されるためには、ノイズと、画像を決定するパラメータによるマッチング基準の不確実性または誤差の影響を考慮する必要があります。
相互相関係数へのノイズの影響を研究した結果、ノイズが存在する場合、2つの画像I1とI2+h(ここでhは画像I2に重畳されたランダムノイズを表す)の相互相関係数CCFは、次のように表されることが明らかになりました[13]
15) 
16) 
超角度への影響は、小角度近似にあります。
17) ![]()
2つの画像が、結像パラメータ(焦点ずれ、厚さなど)の1つに小さな誤差がある以外は同一である場合、角度の誤差はパラメータ誤差に比例します。独立したパラメータ誤差による角度の誤差は、
18) 
パラメータ誤差によるCCF(パターンマッチング)の典型的な不一致は、以下のとおりです。
| Parameter | Error | theta(mrad) |
|---|---|---|
| Noise(ノイズ) | 0.06 | |
| Composition(組成) | ±0.03 | 0.02 |
| Thickness(厚み) | ±2nm | 0.2 |
| Defocus(焦点ずれ) | ±15nm | 0.4 |
| Beam Tilt(ビーム傾斜) | <1.5mrad | 0.8 |
| Astigmatism(非点収差) | <15nm | 0.2 |
| Crystal Tilt(結晶傾斜) | <2mrad | 0.6 |
| Beam Diverg(ビーム発散) | <0.3mrad | 0.1 |
| Focal Spread(焦点広がり) | <5nm | 0.15 |
| Vibration(振動) | <0.04nm | 0.2 |
カイ二乗またはカイ二乗基準
上記の方法はすべて、2つの画像間の一致または不一致を測定しますが、重要な問題は、それらがどの程度一致するかではなく、系統的誤差と非系統的誤差を考慮した上で、どの程度一致するかです。したがって、フィッティングパラメータは、データの統計的性質と、データポイントの既知の精度を考慮する必要があります。
したがって、フィッティングパラメータは、最大尤度(確率)モデルに依存し、データポイントの確率分布がわかっている場合に、AがBに等しい確率の尺度となる必要があります。
相関のないノイズのガウス分布が存在する場合、各データポイントは、1つのピクセルのノイズが隣接するピクセルのノイズと相関しないガウス確率分布を持ちます。これは、χ²基準につながります。この基準は、調整可能なパラメータの数と各データポイントの誤差を考慮に入れます。
前述のように、期待値から1シグマ離れたデータポイントは、χ²の合計に1を加算します。
同様に、A = B と仮定した場合、測定される確率が1%しかないデータポイントは、χ² の合計に 6.63 という値を追加します。したがって、χ² の値が約 6 より大きい場合、A が B と等しい確率は 1% 未満であることを示します。
フィッティングパラメータは、統計的ノイズによるデータポイントの分布モデルに依存し、無相関ノイズのガウス分布が基準となります。しかし、画像内のノイズの統計的性質を判断することが重要です。これは、ノイズを除いて同等とみなされる多数の画像領域から決定されたノイズ分布を調べることで行うことができます。非ガウス分布の場合は、基準は修正されますが、それでも [7] に基づいています。
構造決定
「未知の」構造を決定するには、計算画像、出射波動関数、または回折パターンと実験データとの比較を行う必要があります。前述のように、この比較は、様々な一致/不一致基準を用いて行うことができます。
理想的には、構造の決定は、実験データと計算データ間の不一致が実験データの誤差範囲内に収まるまで構造を修正することによって行われます。原理的には、画像化パラメータ自体を原子座標と共に変化させることが許容されます。しかし、実際には、画像化パラメータは可能であれば個別に最適化されます。これにより、問題の複雑さが軽減され、一致基準を最適化する解の探索に必要なステップ数が削減されます。
「既知」の構造が存在するにもかかわらず未知の欠陥が存在する場合、画像化パラメータと試料の厚さは、まず既知の構造から決定されます。
未知の入力パラメータセットを決定するには、以下のものが必要です。
1) 実験データから得られた画像(実空間または逆格子空間)。
2) 1)と比較する画像を生成する計算手法。
3) 1) と 2) を比較する方法
4) 1) と 2) が統計的に同等である場合の、3) に基づく基準
5) 最終構成が 4) を満たすように最適化される、調整可能な入力パラメータの初期セット
6) 最終構成が有限時間内に見つかるように、調整可能なパラメータを変化させる方法
上記には重要な仮定が立てられており、それは、入力パラメータを正しく選択すれば、2) で使用される計算方法が 1) の画像を生成するというものです。これは別の問題であるため、ここでは取り上げません。この仮定の妥当性については議論の余地があり、計算方法にはさらなる改良が必要であることは認識されています。
しかしながら、以下では、この仮定は妥当であると仮定します。
像または出口波動関数のマッチング
計算と実験を比較するには、像または回折パターンを比較することができます。完全な構造の場合、比較するデータ点の数は構造のブラッグ反射の数によって決まるため、回折パターンを比較することが有益です[11]。しかし、欠陥構造の場合、欠陥を記述する情報はブラッグスポット間の散漫散乱に存在するため、像を比較する方が効率的です。この議論全体は実空間と逆空間の両方に関連しますが、ここでは実空間の像のみを参照します。
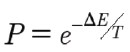
模擬熱アニーリング
模擬熱アニーリングは、多変数関数の大域的最小値を求める比較的新しい手法です[15]。このアルゴリズムは、パラメータ(x₁、x₂、x₃、….xn)を変化させ、システムの最適構成が最小エネルギー状態、すなわち基底状態となるように、システムにエネルギーを割り当てることに基づいています。また、システムには温度が割り当てられ、構成が変化するにつれて温度は徐々に低下していきます。初期配置 E₀(x₁,x₂,x₃,….xn) から、パラメータはランダムに変化し、各変化に対して新しいエネルギー Ej(x₁,x₂,x₃,….xn) が計算されます。ΔE = Ej(x₁,x₂,x₃,….xn) – Ej-1(x₁,x₂,x₃,….xn) < 0 の場合、新しい配置は常に受け入れられます。それ以外の場合、新しい配置が受け入れられる確率は P です。ここで、
19) 
E と T は無次元量です。
各温度に対して、システムは一定回数の変化を経て、上記の基準に基づいて新しい配置を受け入れるか拒否するかを決定します。
指定された回数の遷移が成功すると、温度は一定量だけ下げられ、パラメータが再び変更されます。反復処理の関数として、システムのエネルギーは、期待される最小エネルギー構成に向かって減少し、指定された回数の試行でそれ以上の成功例が得られなくなるか、温度が下限に達すると、プロセスは終了します。
計算画像と実験画像を比較する場合、システムのエネルギーはc2、または画像の不一致を測定する他の量のいずれかに選択できます。相互相関係数に基づいて比較する場合、エネルギーは1-CCFとしてとらえることができます。
シミュレーテッド・サーマル・アニーリングは、局所的最小値に陥ることなく、大域的最小値を見つけるのに非常に強力であることが証明されている、単純な手法です。これは開始条件と開始温度の選択に敏感であり、ある程度の実験が必要になる場合があります。最小値付近では、勾配法に基づく探索手法よりも最適性が低くなる傾向があり、シミュレーテッドアニーリングアルゴリズムが終了した後は、別の探索アルゴリズムに切り替えることが代替手段となる場合があります。
シミュレーテッド進化
シミュレーテッド進化は、ダーウィンの「適者生存」の原理[16]をモデルにした、大域的最小値を求めるためのもう1つの手法です。まず、適合させるべきすべての変数の初期設定を行い、ランダムジェネレータ(突然変異ジェネレータ)を用いて初期設定から複数のセットlを生成します。このセットlは、子世代の第一世代を表します。アルゴリズムは以下のように進行します。
i) l個の子すべてについて、品質関数Q(適合度)を評価します。
ii) 次の世代の親となる生存者のサブセット(μ<l)を選択します。
iii) 親のパラメータベクトルの一部を選択して混合した後、ランダムジェネレータを適用して新しい世代を作成します。
iv) 以下のいずれかの基準を満たすまで、i) に戻る。a) 最大世代数に達した、または b) 臨界適合度に達した。
その他の手法
入力パラメータを変更することで、適合度に対する勾配が最大となる経路をシステムが進むように調整する他の方法もある[17]。それぞれの方法には利点がある。シミュレーテッド・サーマル・アニーリングとシミュレーテッド・エボリューションは、最適な適合度に近づくための優れた手法である。適合度が最小値に近づいたら、測定の不確かさの範囲内に収まるまで、勾配法を用いてさらに改良を進めることができる。
参考文献
1.はじめに
高分解能透過型電子顕微鏡(HRTEM)で記録される画像のほとんどには、自然酸化膜、汚染物質、支持膜などのアモルファス層の存在が見られます。アモルファス層は、対象となる結晶性材料から得られる情報を劣化させ、信号対雑音比を低下させます。この場合、信号とノイズと呼ばれるものは、実際には2つの信号であり、1つは試料の結晶領域から、もう1つはアモルファス層から生じます。
フィルム、イメージプレート、または低速走査CCDカメラに記録される信号は、電子と試料との相互作用によって決まり、原理的にはアモルファス領域と結晶領域の成分に分離することはできません。しかし、第一近似として、アモルファス材料の効果は、アモルファス材料の像を結晶性材料の像に加えることです。数学的には、これは弱位相物体近似(WPOA)の妥当性の範囲内でのみ示されます。薄い試料の場合、WPOA(Cowley & Moodie, 1957)を用いると、試料の出射面における電子波動関数は、
実空間(1)
または逆空間(2)
で表すことができます。
ここで、σは相互作用定数、tcとtaは結晶質と非晶質材料の厚さ、VcとVaはそれぞれ2つの投影されたポテンシャルです。
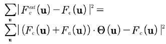
対物レンズが電子波動関数に及ぼす影響は、逆位相空間において位相係数Χ(u)を加えることです。この結果、記録された強度のフーリエ変換は、第一近似で、
(3)
対応する実空間表現は、
(4)
成分F(u)は複素数であり、像は実数であるため、F*(u) = F(-u)となります。
上記の式には、部分コヒーレンスの影響は含まれていません。部分コヒーレンスでは、記録された像は、エネルギーと入射方向の広がりを持つ電子からの非コヒーレント像の和となります。しかし、部分コヒーレンスを考慮しても、記録信号が結晶成分とアモルファス成分の2つの成分に分解されることは変わりません。ただし、画像形成において非線形項が無視される限りです(O’Keefe 1979)。弱位相物体近似は通常、アモルファス層に対して有効であり、アモルファス層が画質に大きな影響を与える厚さの結晶に対しても多くの場合適用できます。
2つの信号は周波数領域において明確に異なる特性を示します。非晶質成分は逆格子空間に広がり、その振幅は逆格子ベクトルの大きさに依存し、ランダムな変動を除いて方位角とは無関係とみなせます。結晶性物質からの信号は、原子面間の間隔に対応する特定の空間周波数付近でピークを示します。実空間の情報は分離不可能である一方、2つの信号は周波数領域においてかなりの程度まで分離可能であります。
本論文の目的は、記録信号I(r)のフーリエ変換から得られるF(u)から信号Fc(u)を推定し、非晶質物質が存在しない場合の記録像Ic(r)の推定値を得るための自動手順を概説することです。
2.フィルタの数学的導出
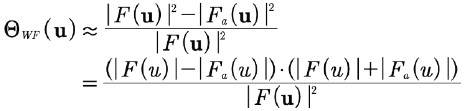
2.1. 最適フィルタ(ウィーナーフィルタ)
信号 Fc(u) の推定値は次のように表されます。
(5) ![]()
ここで、真の信号 Fc(u) と推定値 Fest(u) の二乗和が最小となるように解を最適化します。これは、次の量を最小化することで表されます。
(6) 
上記の式は、各項を最小化することで最小化されます。
について微分をゼロとすると、次の式が得られます。
(7) 
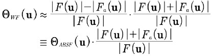
上記のフィルタはよく知られており、ウィーナーフィルタと呼ばれています (Rabiner & Gold, 1975)。ウィーナーフィルターの導出において、Fc(u)とFa(u)は無相関として扱われることに注意することが重要です。したがって、結晶質材料と非晶質材料からの信号の間には相関がないという基本的な仮定があります。2つの信号の推定値間の相関の程度は、非晶質部分と結晶質部分の厚さに依存して変化しますが(Hÿtch & Chevalier, 1994)、第一近似では無視できると考えられます。ウィーナーフィルターとその変種(キャノンフィルター(Cannon, 1977)を含む)、およびそれらのHREMでの使用については、Marks(Marks, 1996)によって詳細に議論されています。
Θ(u) を決定するには、|Fc(u)|² と |Fa(u)|² の両方の推定値が必要です。
「最適フィルタは最小化問題から得られるため、最適フィルタを適用して得られる結果の品質は、真の最適値と、フィルタが決定される精度の2乗程度しか違わない」(Press et al., 1986)。したがって、フィルタのかなり粗い推定値でも優れた結果が得られることが多いのです。
(8) ![]()
と書くと、最適フィルタの推定値として
(9) 
が得られるので、記録された信号のフーリエ変換と合わせて決定する必要がある唯一の量は |Fa(u)|² です。第3節では、|F(u)|² から |Fa(u)|² を決定する方法について説明します。
2.2. 平均背景減算フィルタ (ABSF)
(10) 
ウィーナーフィルタを次のように近似すると、
(11) 
(12) 
2つのフィルタの関係は次のようになります。
2つのフィルタの漸近的な挙動は同じで、
(13) 
F(u) >> Fa(u) の場合には、フィルタはほぼ等しくなります。背景減算フィルタは、中間領域ではやや強いフィルタリング効果をもたらしますが、第4節に示す例からわかるように、2つのフィルタは同等の結果をもたらします。
上記において、フィルターΘabsf(u)はフィルターΘwf(u)から導出されています。実際、フィルターΘabsf(u)の歴史的背景は、ウィーナーフィルターとの関係が理解される以前からNCEMで導入され、長年使用されていたことです。
背景減算フィルターは、ソフトウェアパッケージDigital Micrograph(Gatan, Inc.)のNCEM画像処理拡張機能(Kilaas & Paciornik, 1995)に組み込まれています。ABSFフィルターは、同名の別のフィルター(Sattler & O’Keefe, 1987)と混同しないでください。後者は主観的なフィルターであり、ユーザーは結晶材料に関連する反射を識別し、強いピークを、位相がランダムで、振幅がピーク近傍の領域から取得されたフーリエ成分に置き換えることで背景を構築する必要があります。
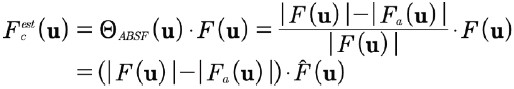
平均背景減算フィルタは、その名の由来となっている単純な幾何学的記述を持っています。信号の結果を次のように書き表すと、
(14) 
得られたフーリエ成分のベクトル表現は、記録された信号のフーリエ成分から、信号Fa(u)の推定振幅によって長さが与えられる同じ方向のベクトルを差し引くことで得られる。これは図1に示されている。
3.背景の推定
非晶質背景からの信号は、逆格子空間に広がり、その振幅は動径周波数|u|に依存し、ランダムな変動を除いて方向には依存しません。したがって、振幅|Fa(u)|を推定するには、与えられた動径周波数|u|に対する平均フーリエ振幅を求め、原理的には信号Fc(|u|)からの寄与を排除する必要があります。しかし、信号Fc(u)は逆格子空間に局在しており、中心から数ピクセル以上離れた任意の半径|u|に対して、Fc(u)は曲線|u| = 定数に沿った限られた数のサンプリング点にのみ対応します。さらに、信号Fc(u)は通常Fa(u)よりもはるかに大きく、その大きさに基づいてFa(u)と区別できる場合がよくあります。フィルターを適用して得られる結果は、背景信号の平均の計算方法にあまり左右されないことが判明しました。円全体 |u| = 定数で平均化して背景信号を推定すると、円に沿って結晶ピークが存在する場合、背景の推定振幅が実際の値よりも高くなるにもかかわらず、多くの場合良好な結果が得られます。しかし、振幅のヒストグラムから背景をより適切に推定できます。ヒストグラムは、背景信号を大きな結晶の寄与から分離し、ピクセル値の大部分は非晶質材料による背景信号に由来します。
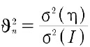
したがって、平均振幅 |Fa(|u| = 定数)| は、円 |u| = 定数に沿った振幅のヒストグラムを決定し、信号 Fa(u) からの寄与を減少させる外れ値を除外してヒストグラムの平均を計算することで推定できます。結晶ピークが存在する場合の|u|=定数のフーリエ振幅の典型的なヒストグラムを図2に示す。この場合、結晶性物質に対応するピクセル数は比較的少なく、ヒストグラム分布は二峰性となり、ピクセルの大部分は下側のピーククラスターに寄与している。
平均背景信号は半径ごとに計算され、|Fa(u)|²の推定値が導出される。次に、|Fc(u)|²が
(15) ![]()
式から推定され、フィルタΘwf(u)とΘabsf(u)が計算される。
4.適用例
2つのフィルターの効果を示し比較するために、ゼオライトのHRTEM像に適用しました。ゼオライトは電子ビーム下で非常に急速に損傷を受けるため、非晶質になる前の結晶相から像を取得することは困難です。図3は実験的なHRTEM像、図4は対応するフーリエ変換を示しています。結晶信号は、放射周波数|u|に応じて変化する背景に対して鋭いピークとして明瞭に確認できます。コンピュータは、周波数領域における強度の変化を自動的に解析し、推定された背景を決定します。図5は、放射周波数|u|の関数として推定された背景強度を示しています。低周波数では、背景は非常に少ないデータ点から推定されるため、ランダムな変動に対して非常に敏感になります。一部の周波数では、結晶性信号が推定バックグラウンドにわずかに寄与しているように見えますが、推定バックグラウンドにおけるそれに伴う誤差は、フィルターの機能にほとんど影響を与えません。結晶性物質に起因する実際のピーク強度は、通常、バックグラウンド強度よりも1~2桁大きくなります。
バックグラウンドが推定された後、コンピュータは自動的にフィルターΘwf(u) またはΘabsf(u) を構築します。図4に示すように、元のデータのフーリエ変換にフィルターΘwf(u) とΘabsf(u) を適用することで、非晶質物質に起因する信号成分が低減されます。
図6と図7は、それぞれフィルターΘwf(u)とΘabsf(u)が元データのフーリエ変換に及ぼす影響を示しています。逆フーリエ変換によって得られた対応する画像を図8と図9に示します。図8と図9に示された画像は、結晶部分によって生成された信号の推定値に過ぎず、真の信号として解釈すべきではありません。画像の結晶領域はノイズが少なく、個々のユニットセルによって生成された画像を識別しやすくなっています。
また、フィルタリングされた画像は結晶性物質の形状を保存しているように見え、画像を注意深く観察すると、未処理画像では識別できない特徴がフィルタリングされた画像には存在しないことがわかります。
ゼオライト構造単位を示す領域を見つけるのは、元データよりもフィルタリングされた画像から始める方がはるかに簡単です。構造単位を含む領域を抽出することで、テンプレートとフィルタリングされた画像との間の相互相関係数を、画像に対するテンプレートのあらゆる位置について計算することができます(Paciornik et al., 1996)。
これにより、-1から+1の範囲の値を持つ新しい画像が得られ、値が1に近いほどテンプレートに類似した領域であることを意味します。図10は、テンプレートが挿入された相互相関画像を示しています。これらの位置を使用して、元のデータから領域を抽出し、単位セルの平均画像を取得できます。平均テンプレートを図11aに示します。比較のために、ウィーナーフィルタリングされた画像から得られた平均テンプレートを図11bに示します。
5.議論
多くの人は、同じ領域の連続画像を平均化し、ノイズのみの変化を確実にすることだけが安全に実行できる処理だと主張するでしょう。なぜなら、同じ顕微鏡写真から類似領域を平均化することでさえ、系統的な構造的変動や画像パラメータの系統的誤差によって引き起こされるアーティファクトが生じる可能性があるからです。
どのような種類のフィルタリングでも、フィルタリングされた画像がもはや生のデータを意味のある形で表現しなくなる危険性があります。
しかし、記録された信号の性質と撮像条件に関して賢明な推測を行い、それに従って処理を進めることが多々あります。本研究の基本的な仮定は、記録された画像のフーリエ変換は、2つの相関のない信号の和として扱えるというものです。どちらの記述も厳密には正しくありませんが、出発点として、第一近似が成り立つと仮定します。2つのフィルターを適用して得られた結果は、実際のデータと比較し、明らかなアーティファクトがないことを確認する必要があります。
結晶構造が非結晶領域にまで広がるなどの明らかなアーティファクトは、フィルターが不適切であることを示しており、多くの場合、ノイズを過大評価した結果、フィルタリングが過剰になったことが原因です。実験画像の場合、信号(「結晶画像」)は未知であるため、フィルターが実験データに与える影響を定量的に評価することは困難です。
しかし、既知の結晶性物質と既知のノイズを用いたシミュレーションデータの場合、結果を定量的に比較することができます。テストでは、画像のサイズとノイズ推定値と真のノイズとの関係に応じて、信号対雑音比の改善は3~7の範囲にあることが示されています(Marks, 1996)。ウィーナーフィルタと平均背景減算フィルタはどちらも、ランダム変動を除けば信号は動径周波数|u|のみで変化すると仮定し、非晶質背景による信号のパワースペクトルを推定することで、データから自動的に作成されます。
ウィーナーフィルタは、最小二乗法で信号Fc(u)の最適な推定値を与えます。背景減算フィルタは、「信号」(Fc(u))と「ノイズ」(Fa(u))の振幅が同程度である周波数でわずかに強い減衰をもたらしますが、それ以外はウィーナーフィルタと非常によく似た結果をもたらします。両方のフィルターが利用可能であることを考えると、バックグラウンド減算フィルターよりもウィーナーフィルターを選択すべきであることは明らかです。
しかし、バックグラウンド減算フィルターは長年にわたり多くの科学者によって使用されているため、その適用性とウィーナーフィルターとの関係に関する情報を提供することが重要です。どちらのフィルターも自動的に動作します。ユーザーには選択肢が提示されず、アルゴリズムに組み込まれているもの以外の仮定も行われません。適切に適用されれば、結晶性物質とアモルファス層が組み合わさったHRTEM像から有用な情報を抽出するのに役立つ可能性があります。
謝辞
本研究は、米国エネルギー省エネルギー研究局基礎エネルギー科学部材料科学課長(契約番号 DE-AC03-76SF00098)の支援を受けて実施されました。
参考文献
Cannon,T.M. (1977) Digital Image Deblurring by Nonlinear
Homomorphic Filtering, Ph.Dthesis, Computer Science Department,
University of Utah, Salt Lake City,UT
Cowley, J.M.& Moodie, A.F. (1957)The Scattering of Electrons by
Atoms and Crystals. I.A NewTheoretical Approach,Acta Cryst., 10, 609-
619
Gatan, Inc, 6678 Owens Drive, Pleasanton,CA 94588, USA.
Hÿtch, M.J, and Chevalier, J.P. (1994)The effect of Amorphous Surface
Layers on HREM Images of Crystalline Material, Proceedings of ICEM,
Paris, 367-368
Kilaas, R.& Paciornik, S. (1995)The NCEM public domain
software library of extensions to Digital Micrograph. Proc. of MSA
46, 628-629
Marks, L.D. (1996)Wiener-filter enhancement of noisy HREM
images,Ultramicroscopy 62, 43-52
O’Keefe, M.A. (1979) Resolution-damping functions in non-linear
images, Proc. of EMSA 37, 556-557
Paciornik, S., Kilaas, R., Turner, J., Dahmen, U. (1996) A
Pattern Recognition Technique for the Analysis of Grain
Boundary Structure by HREM.Ultramicroscopy, 62, 15-27
Press,W.H. et al (1986) Numerical Recipies,The art of scientific
computing. Cambridge University Press 1986 ISBN 0 521 30811
9, p. 419
Rabiner, L.R.& Gold, B. (1975),Theory and application of
digital signal processing Englewood Cliffs, N.J.: Prentice-Hall
Sattler, M.L. and O’Keefe, M.A. (1987) Atomic Structure Analysis
of Small Particles Supported on Amorphous Material, Proc. of
EMSA 45, 104-105
図1 記録信号のフーリエ成分F(u)は、成分Fa(u)とFc(u)の和として表されています。フィルタΘABSF(u)を用いて所望の信号Fc(u)を推定すると、Fcest(u)が得られます。

図2. 周波数空間における円に沿った振幅のヒストグラム。|
u| = 定数。ほとんどのピクセル値は背景信号に関連付けられており、ヒストグラムの左側のピーク群に寄与しています。右端に位置するピークは結晶材料から発生する信号に関連付けられており、平均背景振幅を推定する際に背景から簡単に分離できます。

図3. 電子線によって急速に損傷を受けているゼオライトの実験画像。中央部はまだ結晶状態にある部分を示している。非晶質の「ノイズ」が大量に存在するため、結晶領域から有意義なデータを得ることは困難である。

図4 図3に示す画像のフーリエ変換。
画像の結晶領域は局所的な鋭いピークに寄与し、非晶質材料はぼやけた背景に寄与しています。

図5. 図4に示したフーリエ変換から得られた、放射周波数|u|の関数としての推定背景強度。

図6. 元のデータのフーリエ変換にウィーナーフィルタを適用した結果。未処理のデータと比較して背景が低減されています。

図7. 元データのフーリエ変換に背景減算フィルタを適用した結果。

図8. ウィーナーフィルタを用いて得られたデータを逆フーリエ変換した結果画像

図9. 背景減算フィルタを用いて得られたデータを逆フーリエ変換して得られた画像。

図10. ゼオライトユニットセルの画像を含むテンプレートとウィーナーフィルタを適用した画像との間の相互相関係数を示す画像。
テンプレートはフィルタを適用した画像から抽出されている。十字はテンプレート画像と類似する領域の位置を示している。
