PeakFit では、プロット上のピークのいずれかをマウスで右クリックすると、そのピークの属性を編集できるポップアップメニューが表示されますが、このウィンドウがプロット範囲内にあると、カーソルが十字のまま引き継がれてボタンの操作や値の入力ができなくなります。
このような場合、プロットウィンドウのタイトルバーを選択して、ピークポップアップメニューがプロットの外側になるように移動するか、F4キーを2回押すことで、カーソルのフォーカスがピークポップアップメニューに切り替わり、操作できるようになります(※1回目はドロップダウンが開きますが、2回目に閉じます)。


質問:Windows 10 用にリリースされている winhlp32.exe では、旧形式のヘルプファイルを開くことができません。
回答:この問題を回避して、旧形式のヘルプファイル (*.hlp) を Windows 10 で読めるようにするには以下の方法をお試しください。なお、この方法は暫定的なもので根本的な解決策ではありません。あくまで参考として掲載することを予めご了承ください。現在、別な手段を検討中です。新しい情報は追ってお知らせいたします。
Windows 10 に含まれるオリジナルの “winhlp32.exe” を Windows XP Sp3 の “winhlp32.exe” と置き換えてください。
※ winhlp32.exe は、Windows 10 のディレクトリ C:¥Windows¥ にあります。
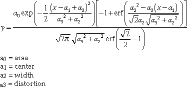
質問:PeakFit 4.12 で、マニュアルおよびヘルプに掲載されている、GEMG4 の式の定義内容が、GMG のものと同じようなのですが。(08/06/19 )
回答:開発元に確認したところ、これはマニュアルおよびヘルプの誤植です。正しい式定義は下図の通りです。

質問:PeakFit で Excel のデータを読み込もうとしたら、「エラーが発生したため、PF.exe を終了します」のエラーメッセージが表示されて PeakFit が終了してしまいます。(05/03/17 )
回答:弊社で確認したところ、PeakFit は Excel 2000 / 2003 形式のファイルには対応していないようです。Excel でファイルを開いて、[ファイル]メニューの[名前を付けて保存]を使って、ファイルの種類を、Excel 5.0/95 ブックなどにして保存し直して、そのファイルを PeakFit で読み込んでください。