FlexPDE は米国 PDE Solutions (http://www.pdesolutions.com/) のソフトウエア製品で、偏微分方程式と条件を指定するだけで、解が得られます。通常、所与の偏微分方程式群を差分法あるいは有限要素法を用いて、近似式に展開し、これをプログラミングする必要がありますが、FlexPDEは有限要素法による展開を自動的に実行して、解を出してくれる偏微分方程式の汎用ソルバーです。
近似式への展開は最も時間もかかり、神経を使うところで、大抵のバグは、展開式の間違いに起因することを考えますと、所与の式を数式処理によって展開し、解を出してくれる機能は大変便利です。問題を解く立場からすれば、これが非常に理想的であることは言うまでもありません。
市場には、数式処理ソフト、偏微分方程式を解くツールは各種ありますが、この両者を一体化したツールは、FlexPDE が唯一ではないかと思います。
FlexPDE は別に偏微分方程式のみに特化しているわけではなく、これ以外の方程式とその n 次微分あるいは偏微分についても扱うことができますが、有限要素法がいずれの場合でも内部で適用されています。
なお、FlexPDE の説明書としては、PDE Solutions が提供するマニュアル、HELP 以外に Gunnar Backstrom, Fields of Physics by Finite Element Analysis, GB Publishing, 2002 があります。著者はスエーデンのウプサラ大学の研究者で、ユーザとしての立場から、電磁気および熱に関する広汎な問題を FlexPDE でどのように解くかを説明しており、実践的なマニュアルとしても使用できます。本書は、PDE Solutions のサイトから無料でダウンロードできます。
それでは早速、FlexPDEのツアーに出かけましょう。
インストレーションは至って簡単です。入手したライセンス・ファイルをインストールでできた FlexPDE のルート・ディレクトリに格納して起動すれば、全機能が使用可能となります。ライセンス・ファイルの指示で「ライセンス・ディレクトリに格納すること」といったことが書いてありますが、これは無視して、ルート・ディレクトリに格納すればこれで OK です。
まず、FlexPDE を起動して New を選択すると下記のようなエディタ画面が表示されます。ユーザは、必要なところを記入し、不要な項目は削除して、実行すれば、結果が図示され、実行経過が示されます。FlexPDE は日本語化されていませんが、下記エディタ画面各項の意味はおおよそ理解できるのではないでしょうか。
なお、不要な部分を削除しないで、Run するとエラーが発生するので、不要部分の削除を忘れないようにしてください。また、{……} で囲うとコメントをかけます。エディタを利用して作成したスクリプトをディスクリプタ・ファイル (記述ファイル) といいます。
| { Fill in the following sections, or delete those that are unused.} TITLE ‘ ‘ { the problem identification } SELECT { method controls } VARIABLES { system variables } DEFINITIONS { parameter definitions } INITIAL VALUES EQUATIONS { PDE’s, one for each variable } CONSTRAINTS { Integral constraints } BOUNDARIES { The domain definition } REGION 1 { For each material region } START(,) { Walk the domain boundary } TIME { if time dependent } MONITORS { show progress } PLOTS { save result displays } HISTORIES { time dependent or staged } END |
ここで、各項目を一般的に説明しても、退屈なだけでしょうから、早速例題をやってみましょう。
f=sin(x)+x*cos(x)、f の一次微分、f の二次微分の3つを同時にプロットする問題です。
この問題を解く場合に必要なことは、関数、一次微分、二次微分を定義し、さらにプロットする範囲を指定することです。
関数の定義は DEFINITIONS のところで、f=sin(x)+x*cos(x), fx=dx(f), fxx=dxx(f) として行っています。FlexPDE は dx(f), dxx(f) をそれぞれ、関数 f の x に関する一次微分、二次微分として認識し、内部で数式処理を行います。
描画する範囲については、Lx=10, Ly=1 として、(-Lx,-Ly) を起点として ( START で指定)、ついで、(Lx,-Ly)->(Lx,Ly)->(-Lx,Ly) と反時計方向に描画するものとします (起点以後の指定は line 文で行っています)。
ついで、実際の描画を行う指定をします。これは PLOTS で行っています。
記述ファイルは以下のようになります。
| { Fill in the following sections, or delete those that are unused.} TITLE ‘sin(x)*x*cos(x) ‘ { the problem identification } DEFINITIONS { parameter definitions } Lx=10 Ly=1 f=sin(x)+x*cos(x) fx=dx(f) fxx=dxx(f) BOUNDARIES { The domain definition } REGION 1 { For each material region } START(-Lx,-Ly) { Walk the domain boundary } line to (Lx,-Ly) to (Lx,Ly) to (-Lx,Ly) to finish PLOTS elevation(f,fx,fxx) from (-Lx,0) to (Lx,0) { save result displays } END |
上記のように入力し、不要部分を削除して、Run をクリックすれば、下図が表示されます。a, b, c 各曲線が、関数 f、 一次微分、二次微分に対応します。

f = x2 + 2y2 として、以下の2変数関数をプロットします。

DEFINITIONS で上記3つの関数を定義します。grad(f) において i,j は単位ベクトルであり、これを表現するには vector(dx(f), dy(f)) とします。また、次のラプラス方程式の2次微分の式は dxx(f)+dyy(f) と表現します。BOUNDARIES で例題1同様、図形の境界とプロット順を指定し、PLOTS でプロットすべき図を指定します。メッシュ分割状況 (grid)、f の曲面表示 (surface)、f の等高線図 (contour)、等高線図の線間を彩色した図 (contour(f) painted)、grad(f) のベクトル表示、ラプラス方程式の等高線図 (contour) の6種類をプロットします。
その結果記述ファイルは以下のようになります。
| { Fill in the following sections, or delete those that are unused.} TITLE ‘ x^2+2*y^2’ { the problem identification } {exa022.pde} SELECT { method controls } spectral_colors {Values from red to violet} DEFINITIONS { parameter definitions } Lx=1 Ly=1 f=x^2+2*y^2 grad_f=vector(dx(f),dy(f)) laplace_f=dxx(f)+dyy(f) BOUNDARIES { The domain definition } region ‘domain’ start(-Lx,-Ly) line to (Lx,-Ly) to (Lx,Ly) to (-Lx,Ly) to finish PLOTS { save result displays } grid(x,y) {Triangular mesh} surface(f) {Surface in 3D} contour(f) {Contour plot of function} contour(f) painted {Color coded in plane} vector(grad_f) as ‘Gradient‘ {Arrow plot with a title} contour(laplace_f) {Test if f(x) is harmonic} END |
ここで、Run をクリックすると、6つのグラフの縮小したものが、一度に表示されます。どれか特定のグラフ上でダブルクリックすると、そのグラフだけが、大きく表示され、ここで再度ダブルクリックすると、もとの縮小グラフに戻ります。
次に各グラフを見ていきましょう。

| 901 ノード、420 セルに分割されていることが、図下段の表示からわかります。 |

| グラフ上で右クリックして、Rotate を選択すると、左の小ウインドゥに視点のスケール (Az は y 軸回り、Po は x 軸回りの回転目盛り)が現れ、値を選んで、Redraw をクリックすると、回転図形が表示され、図の右側上に (視点座標 (x,y) および仰角 (度)) が数値で示されています。同じ色の個所は同じ値を持っています。色と値の関係は図の左に示されています。 |

| f の (x,y) 平面上での曲線群を示しています。左には色と値の関係および最大値、最小値も示されています。 |


| grad(f) のベクトル (傾きと大きさ(矢印の長さ)) 表示です。色の違いはベクトルの大きさに対応しています。 |

| 曲線が1つもないのは、∇2 = 0 であるためで、ゼロでなければ、関数 f は調和関数ではないことになります。 |
底辺に矩形の突起がある流管の 2D での速度ベクトルをナヴィア・ストークス方程式で計算します。
2D の定常非圧縮流れは、下記のナヴィア・ストークス方程式で表されます。

上式で、ρ は流体の密度、μ は粘性率、U, V は流体速度のそれぞれ、X, Y 成分、Fx, Fy は体積力のそれぞれ、X, Y 成分、P は圧力で、この式が更に必要となります。U の式 (一番上の式) を Y で微分し、連続方程式と連立させ、項を消去すると、下式が得られます。

div(U, V)=0 であるので、圧力の式に自由に項を足してもよく、流体に抗する正の圧力項を加えます (負の圧力項は、物体の破壊を意味します)。その結果、

ここで L は、保存則を満足する十分「大きな」数に選ぶものとします。
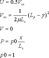
記述ファイルの EQUATIONS の最初の2つの式は、(1) の両辺を μ で除し、かつ、
を考慮すれば得られます。つまり、

EQUATIONS には、(1)’ と (2) を指定しています。
初期条件は、INITIAL VALUES で、流体速度の x, y 成分 (U, V) および圧力を以下のように設定しています。

また、DEFINITIONS で、ρ=1, μ=1 としています。
次に、BOUNDARIES では、領域の形状および各部における境界条件を value (ディリクレ条件) および load (ノイマン条件あるいは自然境界条件) で指定しています。たとえば、value(v)=0 はその個所において解 v をゼロと指定するものですし、load(p)=p0 は、その個所において、解 p を p0 と指定するものです。形状は、grid(x,y) による図を参照してください。
PLOTS では、メッシュ形状 (grid(x,y) )、U, V、速度 (
) の等速線図、圧力 (P) の等圧線図、U, V の流れのベクトル表示 (vector(u,v) )、連続方程式に対する誤差
、流管の入り口、中央、出口における X 方向の速度などをプロットします。
上記記述ファイルは以下のようになります。
| TITLE ‘Viscous flow in 2D channel, Re < 0.1’ VARIABLES u(0.1) v(0.01) p(1) DEFINITIONS Lx = 5 Ly = 1.5 Gx = 0 Gy = 0 p0 = 1 speed2 = u^2+v^2 speed = sqrt(speed2) dens = 1 visc = 1 vxx = (p0/(2*visc*Lx))*(Ly-y)^2 { open-channel x-velocity } rball=0.25 conswt = 1000 INITIAL VALUES u = 0.5*vxx v = 0 p = p0*x/Lx EQUATIONS div(grad(u)) – dx(p)/visc = dens*(u*dx(u) + v*dy(u))/visc div(grad(v)) – dy(p)/visc = dens*(u*dx(v) + v*dy(v))/visc div(grad(p)) = 2*dens*[dx(U)*dy(V) – dy(U)*dx(V)] + conswt*(dx(u)+dy(v)) BOUNDARIES REGION 1 START(0,0) load(u) = 0 value(v) = 0 load(p) = 0 line to (Lx/2-rball,0) value(u)=0 value(v)=0 load(p)= 0 line to (Lx/2-rball,rball) load(p)=0 line to (Lx/2+rball,rball) load(p)=0 line to (Lx/2+rball,0) load(u) = 0 value(v) = 0 load(p) = 0 line to (Lx,0) load(u) = 0 value(p) = p0 line to (Lx,Ly) value(u) = 0 load(p) =0 line to (0,Ly) load(u) = 0 value(p) = 0 line to finish MONITORS contour(speed) PLOTS grid(x,y) contour(u) contour(v) contour(speed) painted vector(u,v) as “flow“ contour(p) as “Pressure” painted contour(dx(u)+dy(v)) as “Continuity Error“ contour(p) zoom(Lx/2,0,1,1) as “Pressure“ elevation(u) from (0,0) to (0,Ly) elevation(u) from (Lx/2,0) to (Lx/2,Ly) elevation(u) from (Lx,0) to (Lx,Ly) END |







| 全領域に渡って誤差がゼロ (h) であることが解ります。 |




重み付き残差法、適応型メッシュ、二次または三次多項式での内挿、部分積分方式、初期値問題には、BDM (Backward Difference Method by C.W.Gear) を採用しています。ユーザが解の精度を指定することもできます (SELECT ERRLIM)。
より詳細は、
の日本語訳をご参照ください。