日本語 English
株式会社ヒューリンクス
TEL:03-5642-8384
営業時間:9:00-17:30

34.10 Rational (有理関数)

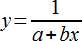
One Parameter Rational I (1パラメータの有理関数 I)

One Parameter Rational II (1パラメータの有理関数 II)

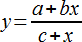
Two Parameter Rational I (2パラメータの有理関数 I)

Two Parameter Rational II (2パラメータの有理関数 II)

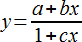
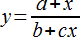
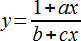
Three Parameter Rational I (3パラメータの有理関数 I)

Three Parameter Rational II (3パラメータの有理関数 II)

Three Parameter Rational III (3パラメータの有理関数 III)

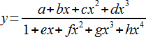
Three Parameter Rational IV (3パラメータの有理関数 IV)

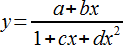
Four Parameter Rational (4パラメータの有理関数)

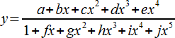
Five Parameter Rational (5パラメータの有理関数)

Six Parameter Rational (6パラメータの有理関数)

Seven Parameter Rational (7パラメータの有理関数)

Eight Parameter Rational (8パラメータの有理関数)

Nine Parameter Rational (9パラメータの有理関数)

Ten Parameter Rational (10パラメータの有理関数)

Eleven Parameter Rational (11パラメータの有理関数)