日本語 English
株式会社ヒューリンクス
TEL:03-5642-8385
営業時間:9:00-17:30

34.7 Hyperbola Library (双曲線ライブラリ)

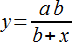
Two Parameter Rectangular Hyperbola (2パラメータの直角双曲線)

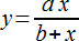
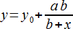
Three Parameter Rectangular Hyperbola I (3パラメータの直角双曲線 I)

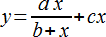
Three Parameter Rectangular Hyperbola II (3パラメータの直角双曲線 II)

Four Parameter Double Rectangular Hyperbola (4パラメータの二重直角双曲線)

Five Parameter Double Rectangular Hyperbola (5パラメータの二重直角双曲線)

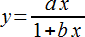
Two Parameter Hyperbolic Decay (2パラメータの双曲的減衰)

Three Parameter Hyperbolic Decay (3パラメータの双曲的減衰)

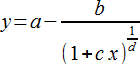
Modified Hyperbola I (変形双曲線 I)

Modified Hyperbola II (変形双曲線 II)

Modified Hyperbola III (変形双曲線 III)