日本語 English
株式会社ヒューリンクス
TEL:03-5642-8385
営業時間:9:00-17:30

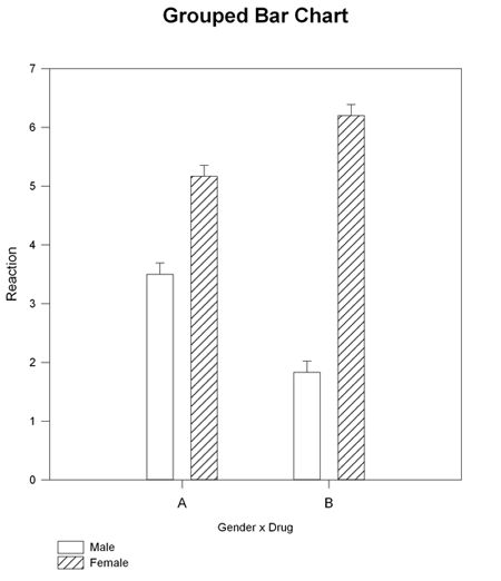
26.13 エラーバー付き群別棒グラフ (Grouped Bar Chart with Error Bars)

このグラフは、二元配置分散分析 (Two Way ANOVA) で選択できます。詳しくは、二元配置分散分析 (ANOVA) をご覧ください。ここには、データの平均値が、その因子列の各水準の標準偏差をあらわすエラーバーと共にプロットされます。X 軸の目盛りには第一因子列の各水準が、X と Y 軸のタイトルには第一因子列のタイトルとデータ列がそれぞれ使用されます。群内の最初の棒は第二因子列の第一水準をあらわし、群内の2つ目の棒は第二因子列の第二水準をあらわします。

二元配置分散分析のエラーバー付き群別棒グラフ