日本語 English
株式会社ヒューリンクス
TEL:03-5642-8384
営業時間:9:00-17:30

18.1 一標本 t 検定

正規分布に従う母集団から抽出された標本の平均値が指定した値に等しいという仮説を検定したいときは、One-Sample t-Test (一標本 t 検定) を使います。

  1. 一標本 t 検定について
  2. 一標本 t 検定を実行する
  3. 一標本 t 検定のデータを配置する
  4. 一標本 t 検定のデータオプションを設定する

    1. Options for One-Sample t-Test: Criterion
    2. Options for One-Sample t-Test: Assumption Checking
    3. Options for One-Sample t-Test: Results
    4. Options for One-Sample t-Test: Post Hoc Tests
  5. 一標本 t 検定を実行する
  6. 一標本 t 検定の結果を解釈する
    1. 結果の説明
  7. 一標本 t 検定のレポートグラフ

    1. 一標本 t 検定データのグラフを作成する方法

1. 一標本 t 検定について

One-Sample t-Test (一標本 t 検定) は、観測した1群が指定した母集団とは異なる母集団から選ばれたものかどうかを判定したい場合に使います。このときの帰無仮説は、「その群は指定した平均値をもつ母集団に由来するものである」になります。

1群の標本平均を計算し、それが指定した値とは異なるものになった場合、その理由としては以下の2つが考えられます:

  • 標本の平均値が指定した母集団とは異なる母集団に由来するものあったため。
  • 標本平均は同一の母集団に由来するものであるが、測定値と指定した値がたまたま異なっていたため。

最初のケースの場合、帰無仮説が棄却されます。2番目の場合は、棄却できません。

この分析を実行するには、One-Sample t-test (一標本 t 検定) を使います。ここでは、対象となる群の平均値を求め、その値が偶然発生する確率 (P 値) を算出します。

2. 一標本 t 検定を実行する

One-Sample t-test (一標本 t 検定) を実行するには:

  1. 使用するデータをワークシートに入力または配置します。詳しくは、一標本 t 検定のデータを配置する をご覧ください。
  2. 必要があれば、t-test オプションを設定します。
  3. Analysis タブをクリックして、SigmaStat グループにある Tests ドロップダウンリストから次を選択します:Single Group One-Sample t-test
  4. 検定を実行します。
  5. レポートグラフを作成します。詳しくは、一標本 t 検定のレポートグラフ をご覧ください。

3. 一標本 t 検定のデータを配置する

検定するデータの形式には以下のものがあります:

  • Raw
    生 (Raw) データフォーマットでは、ワークシートの列ごとに各群のデータを配置します。
  • Mean, size, standard deviation:
    このデータフォーマットでは、ワークシートのそれぞれの列に、平均値 (mean)、標本サイズ (sample size)、および、標準偏差 (standard deviation) を配置します。
  • Mean, size, standard error
    このデータフォーマットでは、ワークシートのそれぞれの列に、平均値 (mean)、標本サイズ (sample size)、および、標準誤差 (standard error) を配置します。

4. 一標本 t 検定のデータオプションを設定する

One-Sample t-Test のオプションを使用するには:

  • 母平均 (population) を指定します。
  • P 値を調整し、使用するデータの正規性の検定を緩和または制限します。
  • 正規性の検定法を選択します。
  • レポートに表示するデータの統計量の要約 (Summary Table) と信頼区間 (Confidence Intervals) を指定し、ワークシートに保存する残差の列 (Residuals in column) を指定します。
  • この検定の検出力 (power) や感度の計算に使用するアルファ値 (危険率) を指定します。

One-Sample t-Test のオプションを設定するには:

  1. Analysis タブをクリックします。
  2. SigmaStat グループにある
    Options をクリックします。表示される
    Options for One-Sample t-test
    ダイアログには、以下の4つのタブがあります:

    1. Criterion
      観測値の比較対象となる母平均を指定します。詳しくは、Options for One-Sample t-Test: Criterion をご覧ください。
    2. Assumption Checking
      P 値を調整し、使用するデータの正規性の検定を緩和または制限します。使用する正規性検定として、Shapiro-Wilk (推奨) または Kolmogorov-Smirnov のいずれかを選択します。詳しくは、Options for One-Sample t-Test: Assumption Checking をご覧ください。
    3. Results
      レポートに表示するデータの統計量の要約 (Summary Table) と信頼区間 (Confidence Intervals) を指定し、ワークシートに保存する残差の列 (Residuals in column) を指定します。詳しくは、Options for One-Sample t-Test: Results をご覧ください。
    4. Post Hoc Tests
      この検定の検出力 (power) や感度の計算に使用するアルファ値 (危険率) を指定します。詳しくは、 Options for One-Sample t-Test: Post Hoc Tests をご覧ください。
Tip:
検定オプションの変更後に検定を実行するに際して、検定の実行前にデータを選択しておきたい場合は、ポインターを列タイトル上でドラッグして、対象とするデータ列を選択します。オプションの設定内容は保存されます。
  1. 検定を続行するには、Run Test をクリックします。検定ウィザードの Select Data パネルが表示されます。

4.1 Options for One-Sample t-Test: Criterion

  • Test Mean
    検定する平均、すなわち、仮説に立てる母集団の平均値を入力します。この値と算出される平均値が比較されることになります。デフォルトは 0 に設定されています。

4.2 Options for One-Sample t-Test: Assumption Checking

正規性の仮説検定は、母集団が正規分布に従っているかをチェックします。

  • Normality Testing
    SigmaPlot では、母集団の正規分布の検定に Shapiro-Wilk または Kolmogorov-Smirnov 検定のいずれかを使用します。
  • P Values for Normality
    P 値は、そのデータが正規分布に従っていないと誤って判断してしまう確率を決定します (データが正規分布しているという帰無仮説を誤って棄却してしまうリスクが P 値です)。検定により算出された P 値がここで設定した P 値よりも大きければ、帰無仮説が採択 (Pass) されます。正規性の要件をより厳密なものにするには、この P 値を大きくします。パラメトリックな統計手法では、仮説の棄却が比較的ロバスト (頑健) に検出されることから、SigmaPlot ではこの値を 0.05 としています。P 値をこれよりも大きくすると (例えば、0.100)、そのデータに正規性がないとの判定が出やすくなります。正規性の要件を緩和するには、P 値を小さくします。正規性があるという仮説を棄却するための P 値に小さい値しか要求しないということは、前提とする正規分布からデータが外れていても、それが非正規であると判定される前に、それだけ広く受け入れたいとする意思があることを意味します。例えば、P 値を 0.010 とした場合、あるデータを非正規であると判定するには、0.050 の場合と比べてそれだけ大きく正規性を逸脱していなければなりません。
Note: データの分布が極端な条件にあるためこれらの検定を考慮できない場合がありますが、このような条件の場合は、前提条件の自動検定に頼らずにデータを視覚的に調べることで容易に見分けることができます。

4.3 Options for One-Sample t-Test: Results

  • Summary Table:列または群の観測数 (N)、列または群の欠損値の数 (Missing)、列または群の平均値 (Mean)、列または群の標準偏差 (Std Dev)、および、列または群の平均値の標準誤差 (SEM) を表示します。
  • Confidence Intervals:平均値の差の信頼区間を表示します。信頼区間を変更するには、1 から 99 までの任意の数を入力します (最も一般的に使用される区間は 95 と 99 です)。
  • Residuals in Column:レポートに残差を表示し、ワークシートの指定列に検定の残差を保存します。列番号を入力するか、ドロップダウンリストから列を選択します。
図 4.1:Options for One-Sample t-Test ダイアログボックスに
Summary Table, Confidence Intervals, および Residuals Options を表示した例。

4.4 Options for One-Sample t-Test: Post Hoc Tests

  • Power:ある検定の検出力 (Power) 、すなわち感度は、もし群間に差がある場合、その差を検定によって検出できる確率です。
  • Use Alpha Value:アルファ (α) は、誤って差があると判断しても良しとする確率です。SigmaPlot で提示される値は、α = 0.05 です。この設定は、誤りを許容する確率が 20分の1であることを示します。すなわち、P < 0.05 あであれば有意な差があると判断できることになります。α 値を小さくすると、有意差があると結論付ける要件がそれだけ厳格なものになりますが、差があるにもかかわらずないと結論付けてしまう可能性はそれだけ大きくなります。α 値を大きくすると、差があると結論付ける要件はそれだけ容易になりますが、誤判定をレポートしてしまうリスクが増加することになります。
図 4.2:Options for One-Sample t-Test ダイアログボックスに
Power オプションを表示した例。

5. 一標本 t 検定を実行する

検定を実行する前にお持ちのデータを選択しておきたい場合は、対象となるデータをマウスポインタでドラッグしておきます。

  1. Analysis タブをクリックして、SigmaStat グループにある Tests ドロップダウンリストから次を選択します:Single GroupOne-Sample t-test検定ウィザードの Data Format パネルで、データフォーマットを選択します。
    Data Format を指定する検定ウィザードの Data Format パネル。
  2. Data Format ドロップダウンリストから該当するデータフォーマットを選択します。詳しくは、一標本 t 検定のデータを配置する をご覧ください。
  3. Next をクリックして、検定するデータ列を選択します。この検定を選択する前に列を選択していれば、Selected Columns リストに選択した列が表示されます。
  4. Selected Columns リストに別のワークシート列を割り当てたい場合には、ワークシートで直接その列を選択するか、Data for Data ドロップダウンリストからその列を選択します。Selected Columns リストの一行目に割り当てられるのは最初に選択した列で、以後同様に列を選択するごとにリストの2行目以降に割り当てられてゆきます。各行には、選択した列のタイトルが表示されます。要約統計データの場合は、3つの列を選択することになります。
    One-Sample t-test の
    Select Data パネルでデータ列を選択した例。
  5. 選択した内容を変更するには、リストの割り当てを選択したあと、ワークシートから列を選択しなおします。Selected Columns リストの内容をダブルクリックすることによって、列の割り当てを消去することもできます。
  6. Finish をクリックすると、選択した列の t 検定が実行されます。計算が完了すると、レポートが表示されます。詳しくは、レポートグラフ をご覧ください。

6. 一標本 t 検定の結果を解釈する

One-Sample t-test (一標本 t 検定) で算出されるのは、t 統計量、自由度、および、指定データの P 値です。これらの結果は、One-Sample t-Test を実行後に自動的に表示される One-Sample t-Test report に表示されます。レポートに表示されるその他の結果は、Options for t-Test ダイアログボックスで有効または無効にすることができます。

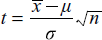
この帰無仮説は、「抽出した群の平均値と指定した値が等しい」です。選択したデータの標本平均は、次式の計算によって仮説として立てられた母集団平均と比較されます。

ここで

= 標本平均

μ = 仮説として立てられた母集団平均

σ = 標本の標準偏差

n = 標本のサイズ (数)

母集団の無作為抽出によって帰無仮説が真であると仮定すると、この量によって、自由度 n – 1 のスチューデントの中心 T 分布となる確率変数 T が定まります。この検定の (両側:two-sided) P 値は、 P(|T| > |t|) として計算します。ここで、 PT に関する確率分布をあらわします。その後、指定した有意水準 α と P 値を比較します。もし、この値が σ より小さければ、標本集団の平均値と μ の間に有意な差があることになります。

真の母平均の (1- σ) 100% 信頼区間は、次式になります:

± σtα, n-1

ここで、 xσ は、上記 tα,n-1 で定義され、P(|T|> tα,n-1) = α を満足させる値になります。

6.1 結果の説明

数値による結果に加えて、拡張された結果の説明が表示されることがあります。この説明テキストは、Options ダイアログボックスで有効または無効にすることができます。詳しくは、レポートグラフ をご覧ください。

  • Normality Test:Normality Test の結果には、そのデータが正規母集団から抽出されたものであるという前提条件の検定に合格したか否か、および、この検定で計算された P 値が表示されます。全てのパラメトリック検定では、ソースとなる母集団が正規分布に従っている必要があります。
  • Summary Table:SigmaPlot では、標本サイズ N、欠損値の数、平均値、標準偏差、および、標準誤差 (SEM) を一覧にしたサマリーテーブルが作成されます。この結果は、Options for t-test ダイアログボックスの Summary Table を無効にしない限り表示されます。
    • N (Size):該当する列または群の観測値の数です。
    • Missing:該当する列または群の欠損値の数です。
    • Mean:列の平均値です。観測値が正規分布に従う場合、平均値は分布の中心になります。
    • 標準偏差 (Std Dev):ばらつきの尺度です。観測値が正規分布に従う場合、平均値の上下1標準偏差分の間に約3分の2が収まり、平均値の上下2標準偏差分の間に観測値の約 95% が収まります。
    • 平均値の標準誤差 (SEM):標本を元に算出した平均値から真の母平均を近似するときの目安となる尺度です。

7. 一標本 t 検定のレポートグラフ

One-Sample t-Test の結果を使用して以下に示す最大3つのグラフを作成できます:

  • 列平均のエラーバー付き散布図 (Scatter plot with error bars of the column means)
    一標本 t 検定の散布図では、各群の平均値が1つの点としてプロットされ、それぞれの点には標準偏差をあらわすエラーバーが付けられます。詳しくは、Scatter Plot をご覧ください。
  • 残差のヒストグラム (Histogram of the residuals)
    一標本 t 検定のヒストグラムでは、指定した範囲の生の残差が定義した間隔セットを使用してプロットされます。詳しくは、Histogram of Residuals をご覧ください。
  • 残差の正規確率プロット (Normal probability plot of the residuals)
    一標本 t 検定の確率プロットでは、生の残差の度数がプロットされます。詳しくは、Normal Probability Plot をご覧ください。

7.1 一標本 t 検定データのグラフを作成する方法

  1. One-Sample t-Test のレポートを選択します。
  2. Report タブで、Result Graphs グループにある Create Result Graph をクリックします。Create Result Graph ダイアログボックスが表示され、その中に One-Sample t-Test の結果で利用できるグラフのタイプが表示されます。
    図 4.5 One-Sample t-test Report の
    Create Result Graph ダイアログボックス
  3. Graph Type リストの中から作成したいグラフタイプを選択して OK をクリックするか、リスト内のグラフをダブルクリックします。
    選択したグラフがグラフウィンドウに表示されます。

    詳しくは、レポートグラフ をご覧ください。