日本語
English
検索
株式会社ヒューリンクス
TEL:03-5642-8384
営業時間:9:00-17:30
ソフトウェア
グラフ作成/データ解析/数式処理
Mathematica
Wolfram Notebook Assistant + LLM Kit
Igor Pro
KaleidaGraph
SigmaPlot
FlexPro
その他
化学/生物学
ChemDraw
Signals Notebook
StarDrop
CodonCode Aligner
CLiDE
その他
計算化学/第一原理計算
Gaussian
GaussView
Q-Chem
RESCU
NanoDCAL
QTCAD
その他
材料科学/結晶
TFCalc
CrystalMaker
CrystalDiffract
SingleCrystal
Crystal Studio
その他
文書/ファイル管理系
新旧文書 Word版
新旧文書 Excel版
HELIOS
Canto
NetX
その他
品質管理/意思決定シミュレーション
APIS IQ
Analytica
Design-Expert
Stat-Ease 360
その他
モデリング・シミュレーション
System Modeler
FlexPDE
QTCAD
その他
地球科学
Surfer
Grapher
The Geochemist’s Workbench
RockWorks
その他
すべてのソフトウェア
ソリューション開発
カスタム開発
パッケージベース開発
基盤サービス
セミナー情報
サポート
サポート情報
テクニカルサポートについて
サービスについて
サポートフォーム
導入事例
ブログ
採用情報
お問い合わせ
Menu
検索
TOP
ソフトウェア
SigmaPlot
9.1.6 ロジット (Logit)
9.1.6 ロジット (Logit)
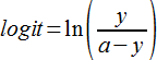
ロジットスケールでは、次の変形を使用します。
ここで、a = 100 かつ 0 ≤ y ≤ 100 となります。