日本語 English
株式会社ヒューリンクス
TEL:03-5642-8384
営業時間:9:00-17:30

6.8.2 エラーバーの方向を変更する

エラーバーの方向は、絶対エラーバーと相対エラーバーという2種類の方法で指定できます。絶対エラーバーを指定すると、正または負のいずれかの方向を指すことができます。相対エラーバーを指定すると、ゼロに近づく方向または離れる方向を指すことができます。

エラーバーの方向を変更するには:

  1. プロットのエラーバーをダブルクリックして Graph Properties を開きます。
  2. Properties リストから Plot > Error Bars を選択します。
  3. Error Bars にある Direction ドロップダウンリストから、Y 方向を選択します。
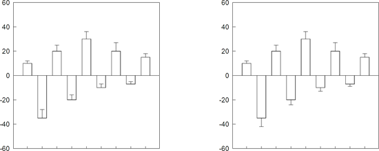
Note: X の絶対正方向は常に右を指し、Y の絶対正方向は常に上を指します。X の絶対負方向は常に左を指し、Y の絶対負方向は常に下を指します。
図 93: 左の棒グラフでは、 Y エラーバーに正方向の絶対値を使用。右の棒グラフでは、ゼロから遠ざかる相対方向を使用。

ゼロを基準とする方向は、常にゼロに向かうかゼロとは反対の向きを指します。このオプションは、負の値を持つ棒グラフに向いています。

図 94: 左の棒グラフでは、X エラーバーに負方向の絶対値を使用。右の棒グラフでは、ゼロに向かう相対方向を使用。