日本語 English
株式会社ヒューリンクス
TEL:03-5642-8384
営業時間:9:00-17:30

5.9.1 利用可能な統計量

Statistics ウィンドウに表示する統計を選択するには、Statistics Options ダイアログボックスを使用します。ほとんどの計算では、空のセル、欠損値、テキストは無視されます。Column Statistics ウィンドウに表示される統計量は以下のとおりです:

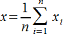
  • Mean:列内にある欠損値を除くセル全体の算術平均 (arithmetic mean)、いわゆる平均値 (average) 。次の式で定義されます。
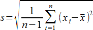
  • Std Dev:標本の標準偏差は、列内のデータ標本 x i と平均値との差を二乗して平均した値の平方根として定義されます。欠損値は無視されます。
  • Std Err:標準誤差は平均の標準偏差です。標本の標準偏差を標本数の平方根で割ったものです。標本の標準偏差は次の式で定義されます。
  • 95% Conf:95%信頼区間の値です。区間の端点は次の式で与えられます:

    ここで、 は平均、 s は標本の標準偏差、 t (v, z ) は、自由度 v = n -1 、標準正規パーセンタイル z = 1.96 の t 統計量です。
  • 99% Conf:99%信頼区間の値。区間の端点は 95%信頼区間と同じ式で z = 2.576 を用いて求めます。
  • Size:データ、テキスト、欠損値が占める列内のセルの数。
  • Sum:列内のデータ値の算術的合計。
  • Min:欠損値を除く列内で数値的に最も小さいデータの値。
  • Max:列内で数値的に最も大きいデータ。
  • Min Pos:最も小さい正の値。
  • Missing:列内で、二重ダッシュ(-)で印がつけられた欠損値が存在するセルの数。
  • Other:テキストまたは空のセル。