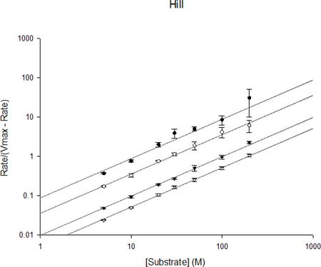
ヒル・プロットは、ヒルの式から対数をとったものです。
ヒル・プロットは、v /(Vmax –v) 対 [S] をプロットします。このプロットは、ヒルの式 v = V max Sn /(Kn + Sn) を元に、log(v /(V max – v)) = n log([S]) – n log(K) が勾配 n の直線となることから考案され
ました。
この方程式では、酵素と酵素-基質複合体の間に中間段階は存在しないと仮定します。1910年にアーチボルド・ヒルによって提案されたもので、ヘモグロビンと酸素の協同的結合を表すのに経験的に使用したのがはじまりです。
このプロットは酵素の協同性 (cooperativity) を測定するのに使用します。協同性とは酵素が高い触媒作用に達する速度ではなく、酵素の制御反応が有効であることを示す尺度です。
