日本語 English
株式会社ヒューリンクス
TEL:03-5642-8384
営業時間:9:00-17:30

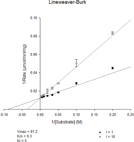
4.2.10 Lineweaver-Burk Graph (ラインウィーバー=バーク・グラフ)

ラインウィーバー=バーク・プロット (二重逆数プロット) は、反応の初速度の逆数 (1/v) を基質濃度の逆数 (1/[s]) に対してプロットするものです。このプロットは、酵素反応速度論の診断向けに最も広く使用されているプロットです。

研究タイプ